Последно актуализиране :
27/04/2026
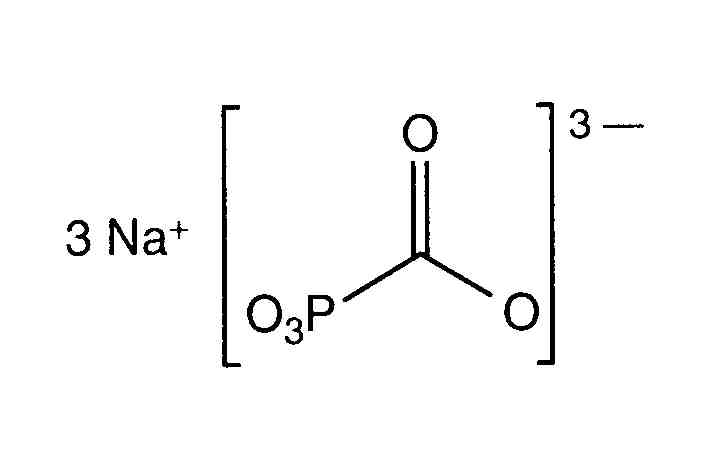
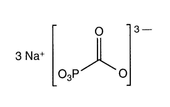
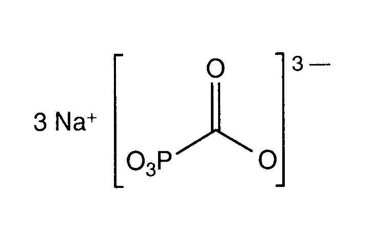
Противовирусно средство   Foscarnet sodium  
Инжекция/Инжекционен
Стабилност на разтвори Стабилност на смеси Фактори, повлияващи стабилността Съвместимост Път на въвеждане Библиография Pdf
   Химична структура  

Търговско наименование   Търговско наименование     

Търговските имена са примерни и съставът на помощните вещества може да бъде различен в зависимост от държавата и лабораториите

Foscarnet Аржентина, Еквадор, Испания, Колумбия, Мексико, Перу, Португалия, Съединени Американски щати / САЩ, Чили
Foscavir Австралия, Австрия, Белгия, Великобритания, Германия, Гърция, Испания, Италия, Люксенбург, нова Зеландия, Съединени Американски щати / САЩ, Унгария, Франция, Холандия, Швейцария, Швеция
Библиография   Инжекция/Инжекционен   Библиография : Foscarnet sodium  
Вид Публикация
2 Списание Woods K, Steinmann W, Bruns L, Neels JT.
Stability of foscarnet in 0.9% sodium chloride injection.
Am J Hosp Pharm 1994 ; 51: 88-90.
36 Списание Alex S, Gupta SL, Minor JR, Turcovski-Corrales S, Gallelli JF, Taub D, Piscitelli SC.
Compatibility and activity of aldesleukin (recombinant interleukin-2) in presence of selected drugs during simulated Y-site administration: Evaluation of three methods.
Am J Health-Syst Pharm 1995 ; 52: 2423-2426.
64 Списание DiStefano JE, Outman WR.
Additional data on visual compatibility of foscarnet sodium with morphine sulfate.
Am J Hosp Pharm 1992 ; 49: 1672.
73 Списание Lor E, Takagi J.
Visual compatibility of foscarnet with other injectable drugs.
Am J Hosp Pharm 1990 ; 47: 157-159.
75 Списание Mathew M, Das Gupta V, Bethea C.
Stability of foscarnet sodium in 5% dextrose and 0.9% sodium chloride injections.
J Clin Pharm Ther 1994 ; 19: 35-36.
132 Списание Najari Z, Rusho WJ.
Compatibility of commonly used bone marrow transplant drugs during Y-site delivery.
Am J Health-Syst Pharm 1997 ; 54: 181-184.
246 Списание McDonald C, Boddy M, Garas G.
The stability of foscarnet in the presence of potassium.
Aust J Hosp Pharm 1996 ; 26: 560-561.
496 Списание Lor E, Sheybani T, Takagi J.
Visual compatibility of fluconazole with commonly used injectable drugs during simulated Y-site administration.
Am J Hosp Pharm 1991 ; 48: 744-746.
604 Лаборатория Stabilité des médicaments dans l'Intermate® SV50, 100, 200
Baxter 1998
1135 Списание Baltz JK, Kennedy P, Minor JR, Gallelli J.
Visual compatibility of foscarnet with other injectable drugs during simulated Y-site administration.
Am J Hosp Pharm 1990 ; 47: 2075-2077.
2262 Списание Brammer MK, Chan P, Heatherly K, Trusley C, Kupiec TC, Trissel LA, Psathas PA, Gilmor T, Schaufelberger D.
Compatibility of doripenem with other drugs during simulated Y-site administratioN
Am J Health-Syst Pharm 2008 ; 65: 1261-1265.
3595 Лаборатория Aciclovir - Summary of Product Characteristics
Hospira 2009
3662 Лаборатория Foscavir (Foscarnet®) - Summary of Product Characteristics
Clinigen 2014
3728 Списание Correard F, Savry A, Gauthier-Villano L, Pisano P, Pourroy B.
Visual compatibility of defibrotide with selected drugs during simulated Y-site administration.
Am J Health-Syst Pharm 2014 ; 71: 1288-1291.
3883 Лаборатория Ceftazidime - Résumé des caractéristiques du produit
Arrow 2016
4319 Списание Lessard J-J, Caron E, Schérer H, Forest J-M, Leclair G.
Compatibility of Y-site Injection of Meropenem Trihydrate With 101 Other Injectable Drugs.
Hosp Pharm 2020 ; 55, 5: 332-337.

  Mentions Légales