Poslední aktualizace :
27/04/2026
Antivirotikum   Foscarnet sodium  
injekce
Stabilita roztoků Stabilita směsí Faktory ovlivňující stabilitu Kompatibilita Způsoby aplikace Odkazy pdf
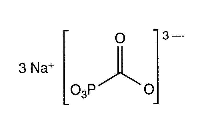
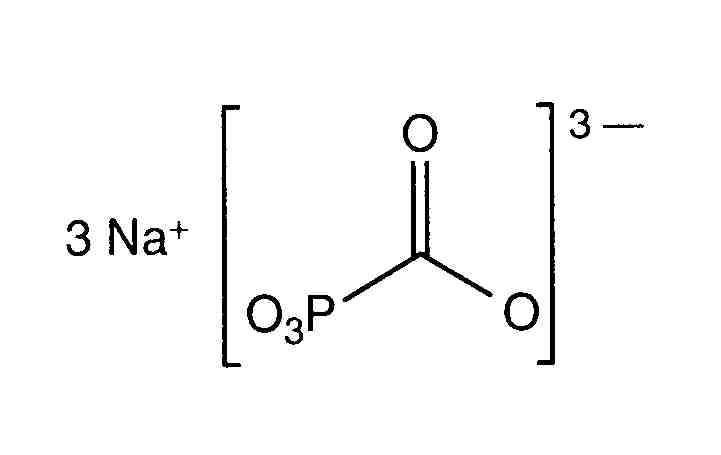
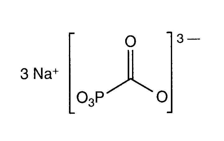
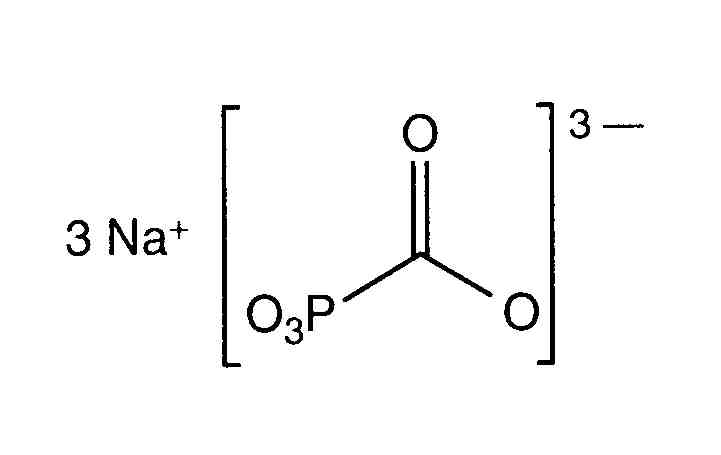
   Chemický vzorec  

Obchodní název   Obchodní název     

Trade names are indicative and excipients composition can be different depending on the country and manufacturers

Foscarnet äpanÏlsko, Argentina, Chile, Ekvádor, Kolumbie, Mexiko, Peru, Portugalsko, USA
Foscavir äpanÏlsko, Austrálie, Belgie, Francie, Itálie, Lucembursko, MaÔarsko, NÏmecko, Nizozemsko, nový Zéland, Rakousko, Švédsko, Švýcarsko, USA, Velká Británie, ÿecko
Odkazy   injekce   Odkazy : Foscarnet sodium  
typ uveřejnění
2 noviny Woods K, Steinmann W, Bruns L, Neels JT.
Stability of foscarnet in 0.9% sodium chloride injection.
Am J Hosp Pharm 1994 ; 51: 88-90.
36 noviny Alex S, Gupta SL, Minor JR, Turcovski-Corrales S, Gallelli JF, Taub D, Piscitelli SC.
Compatibility and activity of aldesleukin (recombinant interleukin-2) in presence of selected drugs during simulated Y-site administration: Evaluation of three methods.
Am J Health-Syst Pharm 1995 ; 52: 2423-2426.
64 noviny DiStefano JE, Outman WR.
Additional data on visual compatibility of foscarnet sodium with morphine sulfate.
Am J Hosp Pharm 1992 ; 49: 1672.
73 noviny Lor E, Takagi J.
Visual compatibility of foscarnet with other injectable drugs.
Am J Hosp Pharm 1990 ; 47: 157-159.
75 noviny Mathew M, Das Gupta V, Bethea C.
Stability of foscarnet sodium in 5% dextrose and 0.9% sodium chloride injections.
J Clin Pharm Ther 1994 ; 19: 35-36.
132 noviny Najari Z, Rusho WJ.
Compatibility of commonly used bone marrow transplant drugs during Y-site delivery.
Am J Health-Syst Pharm 1997 ; 54: 181-184.
246 noviny McDonald C, Boddy M, Garas G.
The stability of foscarnet in the presence of potassium.
Aust J Hosp Pharm 1996 ; 26: 560-561.
496 noviny Lor E, Sheybani T, Takagi J.
Visual compatibility of fluconazole with commonly used injectable drugs during simulated Y-site administration.
Am J Hosp Pharm 1991 ; 48: 744-746.
604 Laboratoř Stabilité des médicaments dans l'Intermate® SV50, 100, 200
Baxter 1998
1135 noviny Baltz JK, Kennedy P, Minor JR, Gallelli J.
Visual compatibility of foscarnet with other injectable drugs during simulated Y-site administration.
Am J Hosp Pharm 1990 ; 47: 2075-2077.
2262 noviny Brammer MK, Chan P, Heatherly K, Trusley C, Kupiec TC, Trissel LA, Psathas PA, Gilmor T, Schaufelberger D.
Compatibility of doripenem with other drugs during simulated Y-site administratioN
Am J Health-Syst Pharm 2008 ; 65: 1261-1265.
3595 Laboratoř Aciclovir - Summary of Product Characteristics
Hospira 2009
3662 Laboratoř Foscavir (Foscarnet®) - Summary of Product Characteristics
Clinigen 2014
3728 noviny Correard F, Savry A, Gauthier-Villano L, Pisano P, Pourroy B.
Visual compatibility of defibrotide with selected drugs during simulated Y-site administration.
Am J Health-Syst Pharm 2014 ; 71: 1288-1291.
3883 Laboratoř Ceftazidime - Résumé des caractéristiques du produit
Arrow 2016
4319 noviny Lessard J-J, Caron E, Schérer H, Forest J-M, Leclair G.
Compatibility of Y-site Injection of Meropenem Trihydrate With 101 Other Injectable Drugs.
Hosp Pharm 2020 ; 55, 5: 332-337.

  Mentions Légales