Laatste update :
27/04/2026
Antibioticum   Dapsone  
zalf
Orale Oplossing
Stabiliteit van farmaceutische preparaten Stabiliteit in mengsels Factoren die de stabiliteit beïnvloeden Verenigbaarheden Literatuur pdf
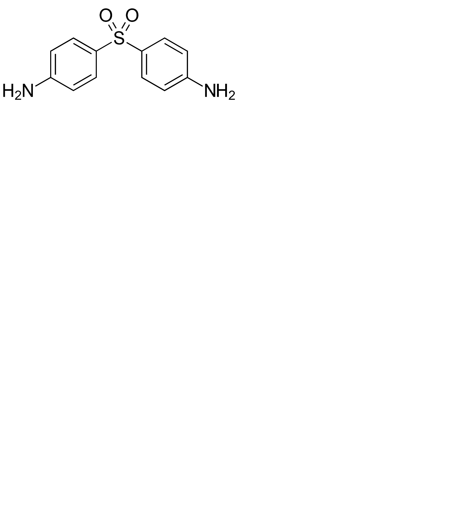
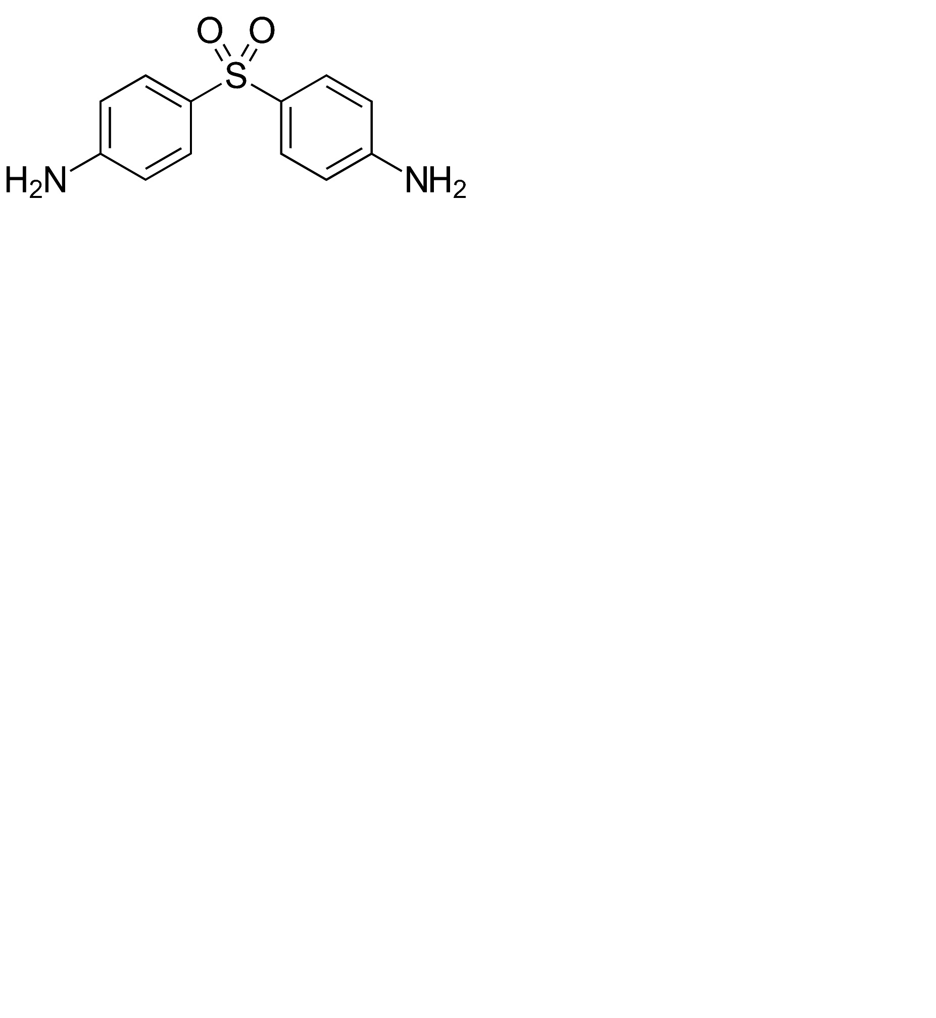
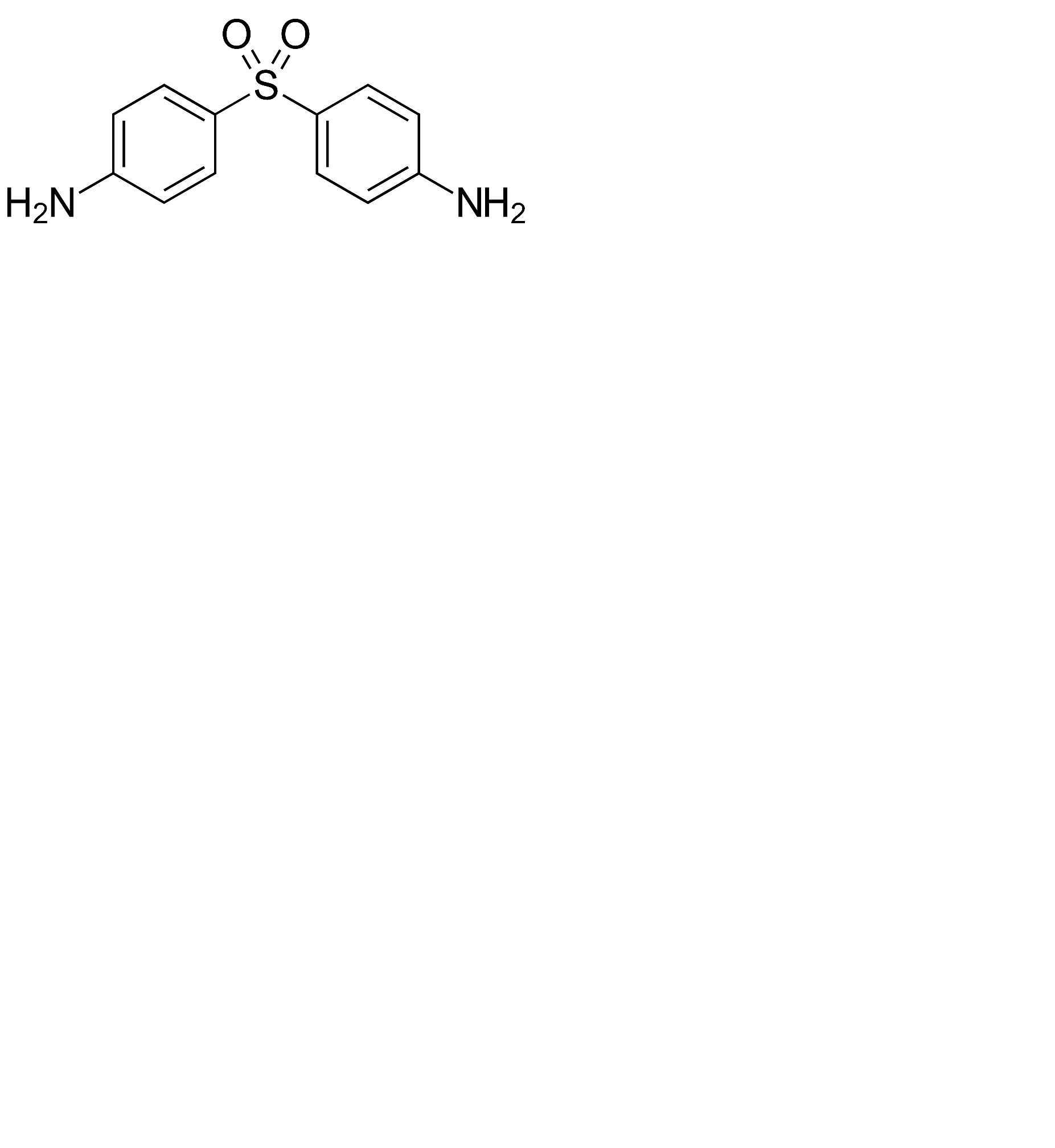
   Molecuulstructuur  

zalf
Literatuur   zalf   Literatuur : Dapsone  
type publicatie
4879 Artikel Marianni B, Mansourian M, Koulouridas S, Polonini H.
Compatibility of Active Pharmaceutical Ingredients in Cleoderm: A Comprehensive Study for Enhanced Topical Dermatological Treatments.
Int J Pharm Compound 2024 ;28,5:413-422

  Mentions Légales