Dernière mise à jour :
27/01/2026
Infostab
Liste des molécules
Listes récapitulatives
Recherches de compatibilités
Tableau de compatibilités en Y
Bibliographie
Equipes de recherche
Valistab
Posters
Liens infostab
Partenaires
Auteurs
Manuel d'utilisation
Lettre d'actualité
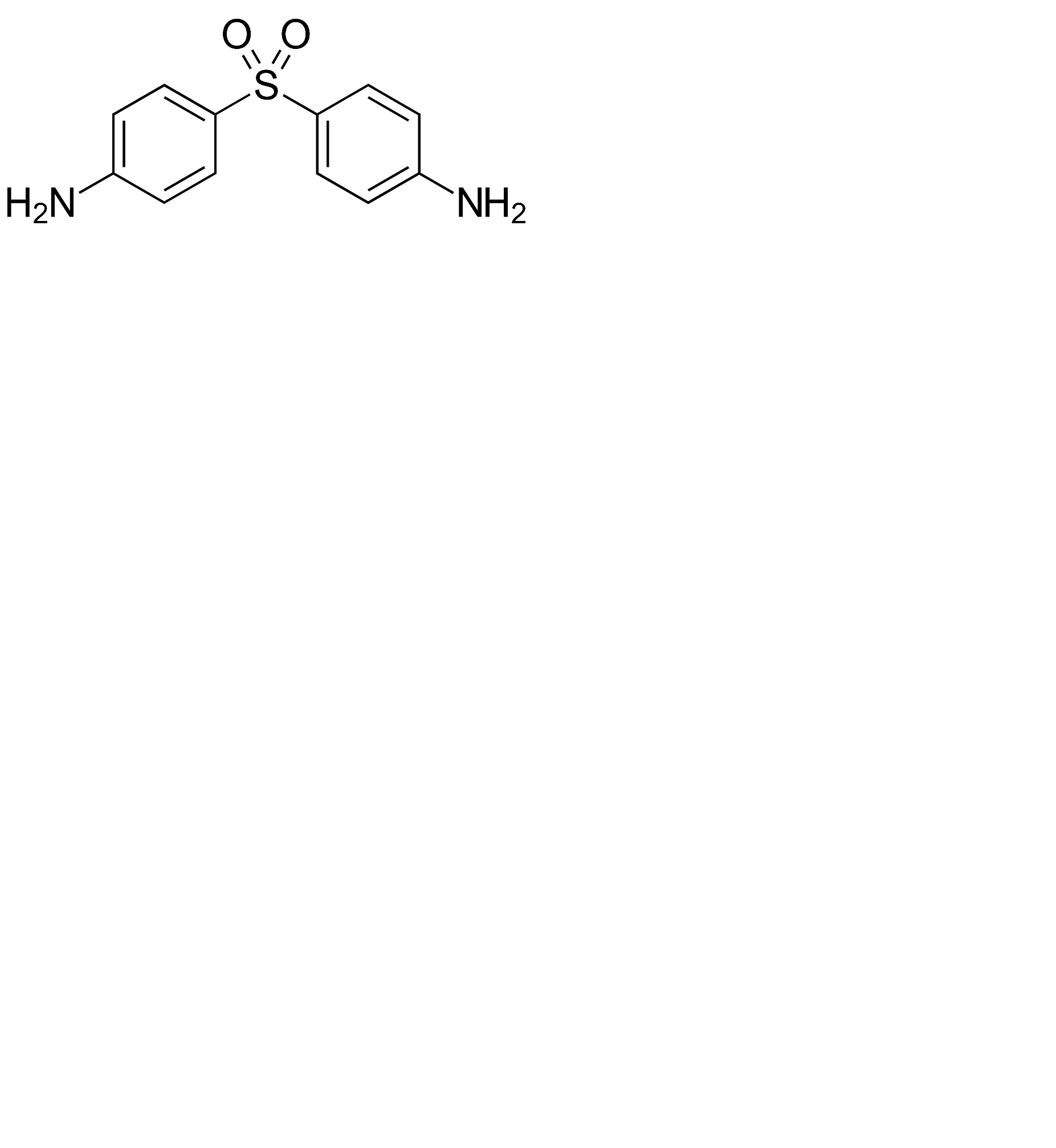
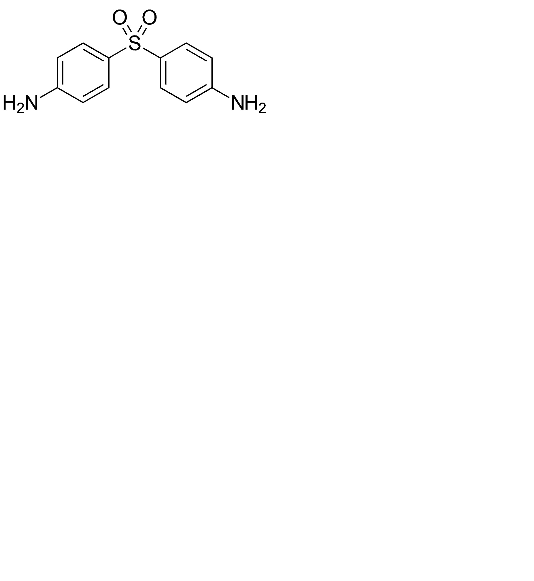
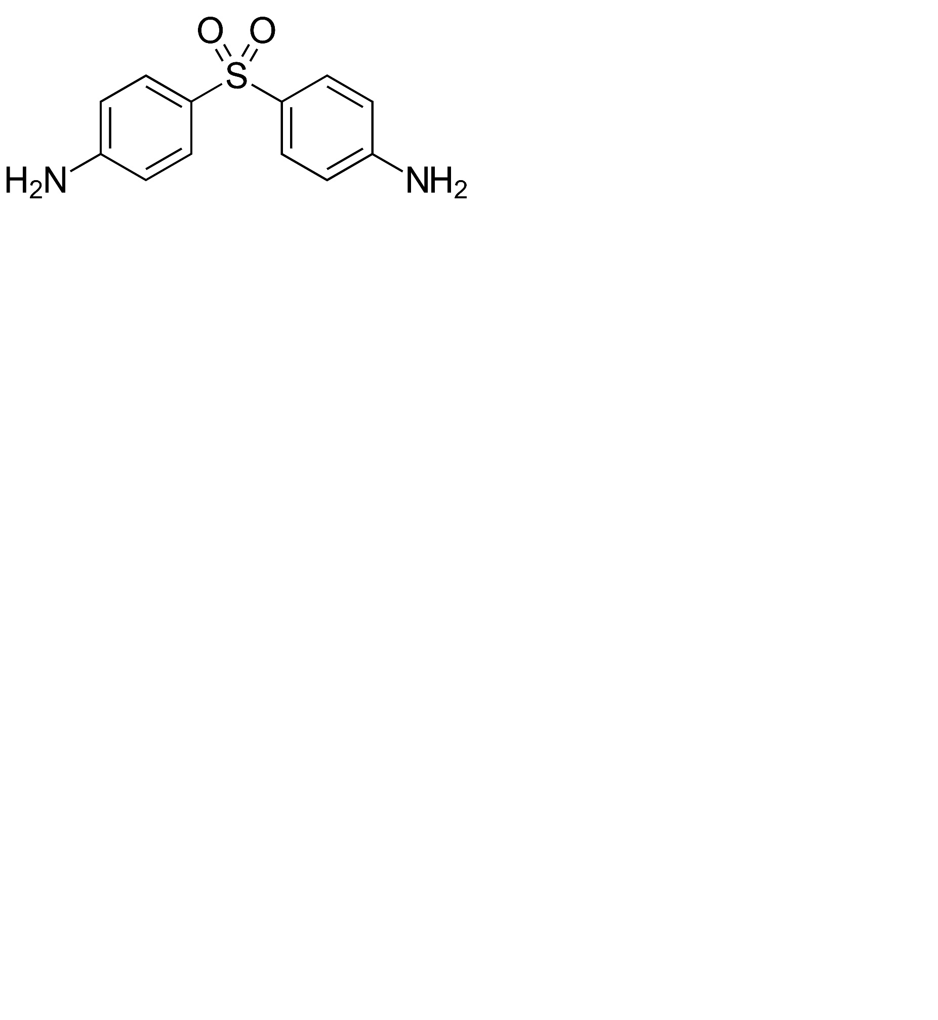
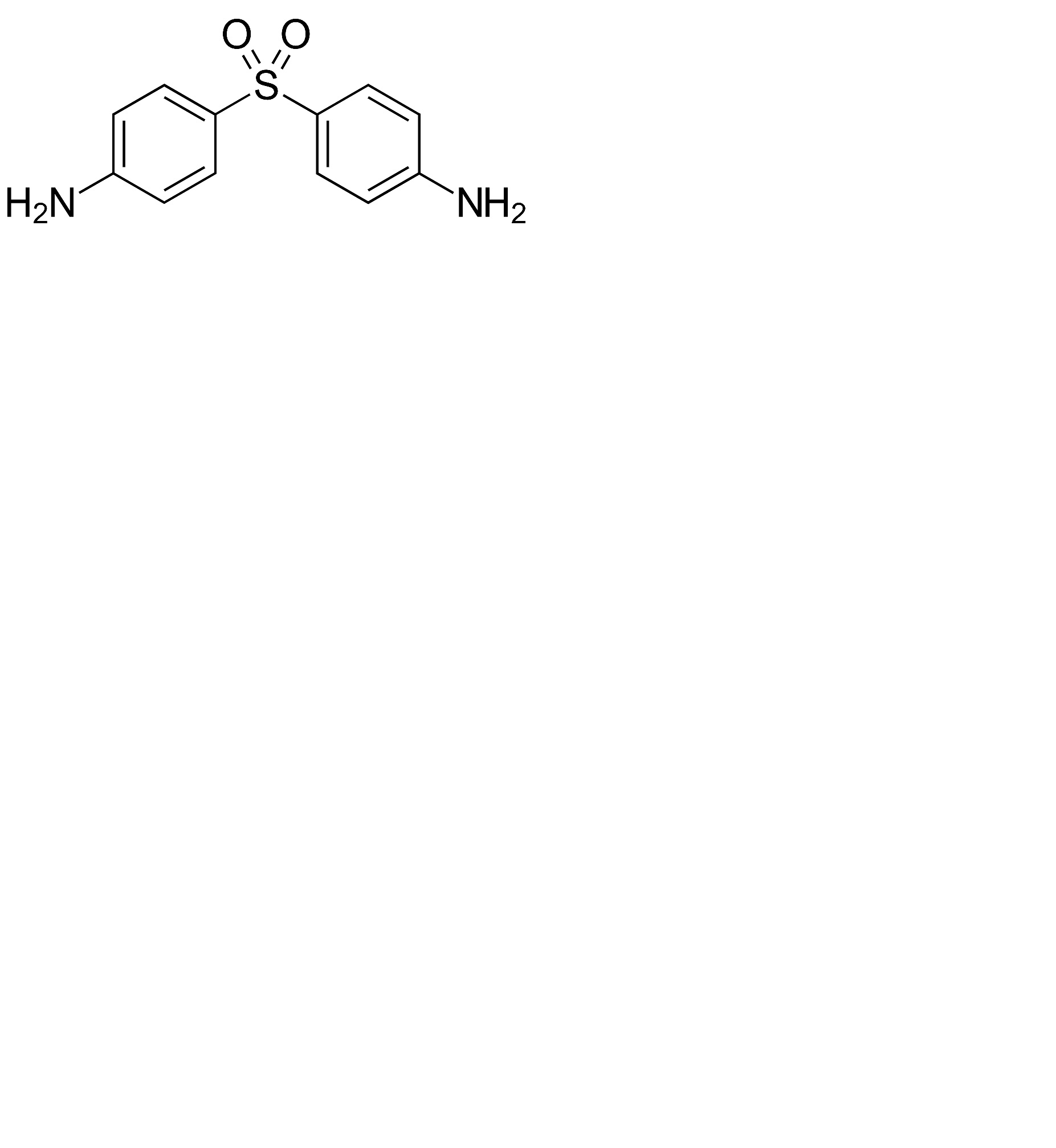
Dapsone
Structure chimique
Bibliographie : Dapsone
Type
Source
4879
Revue
Marianni B, Mansourian M, Koulouridas S, Polonini H.
Compatibility of Active Pharmaceutical Ingredients in Cleoderm: A Comprehensive Study for Enhanced Topical Dermatological Treatments.
Int J Pharm Compound 2024 ;28,5:413-422
Mentions Légales