Последно актуализиране :
27/04/2026
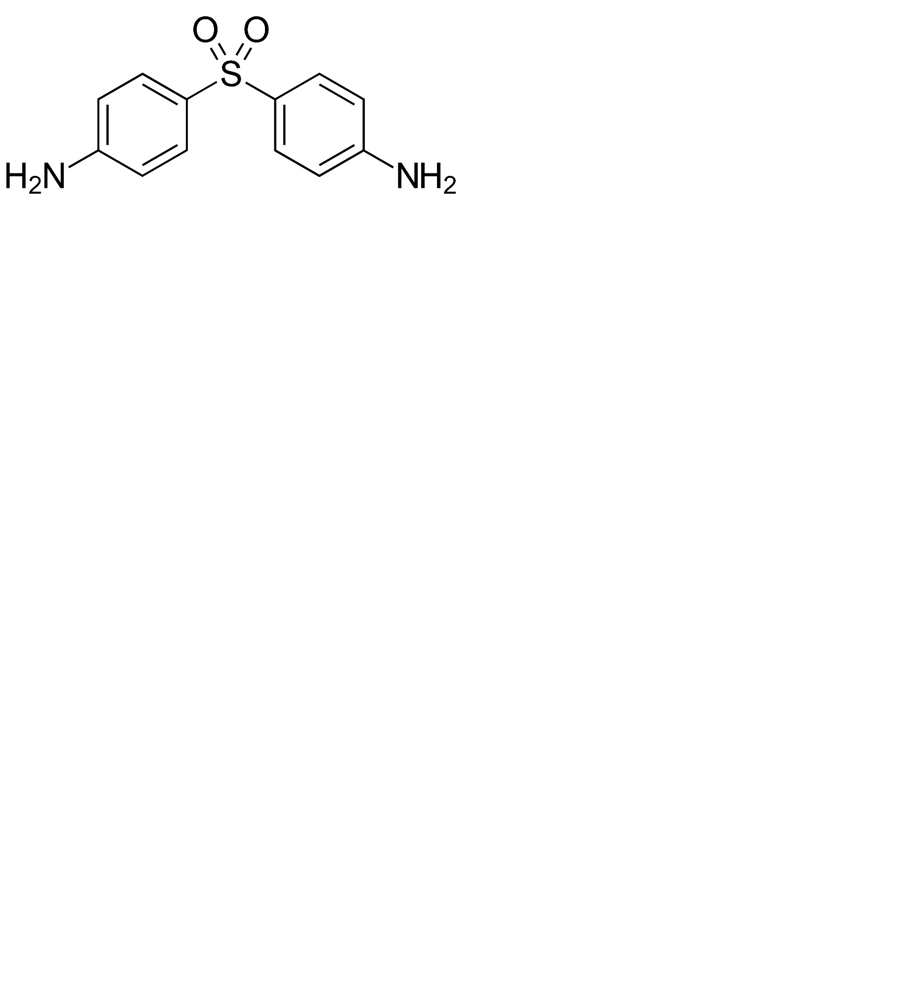
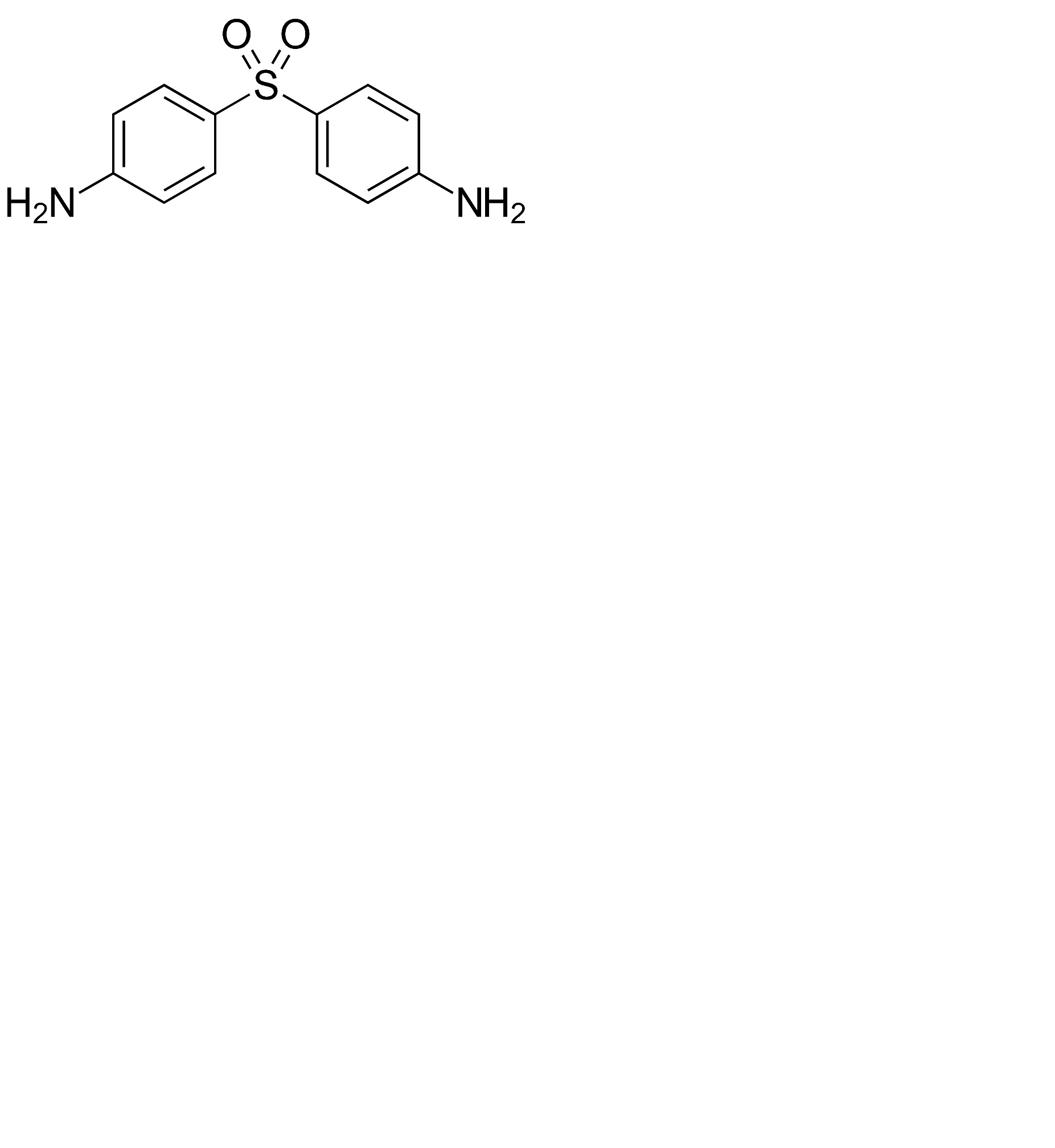
Антибиотик   Dapsone  
Унгвент/Унгвенти
Орален разтвор
Стабилност на лекарствени препарати Стабилност на смеси Фактори, повлияващи стабилността Съвместимост Библиография Pdf
   Химична структура  

Унгвент/Унгвенти
Библиография   Унгвент/Унгвенти   Библиография : Dapsone  
Вид Публикация
4879 Списание Marianni B, Mansourian M, Koulouridas S, Polonini H.
Compatibility of Active Pharmaceutical Ingredients in Cleoderm: A Comprehensive Study for Enhanced Topical Dermatological Treatments.
Int J Pharm Compound 2024 ;28,5:413-422

  Mentions Légales