最新更新 :
27/04/2026
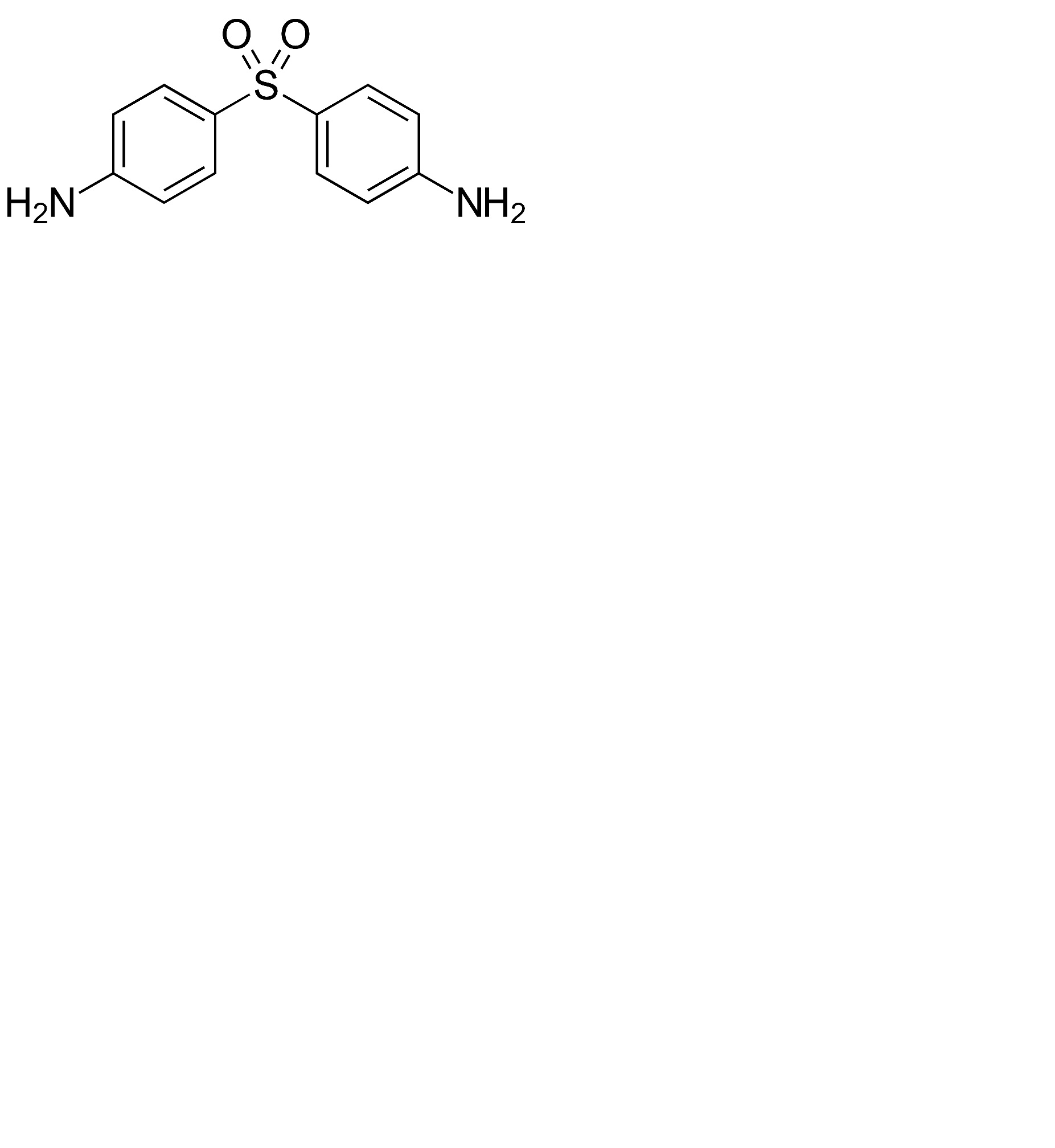
抗生素   Dapsone  
药膏
口服剂
制剂的稳定性 混合物稳定性 影响稳定性的因素 兼容性 引用文献 PDF
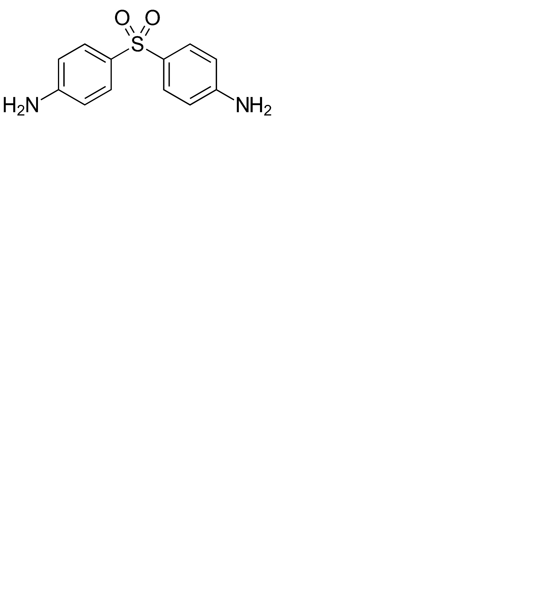
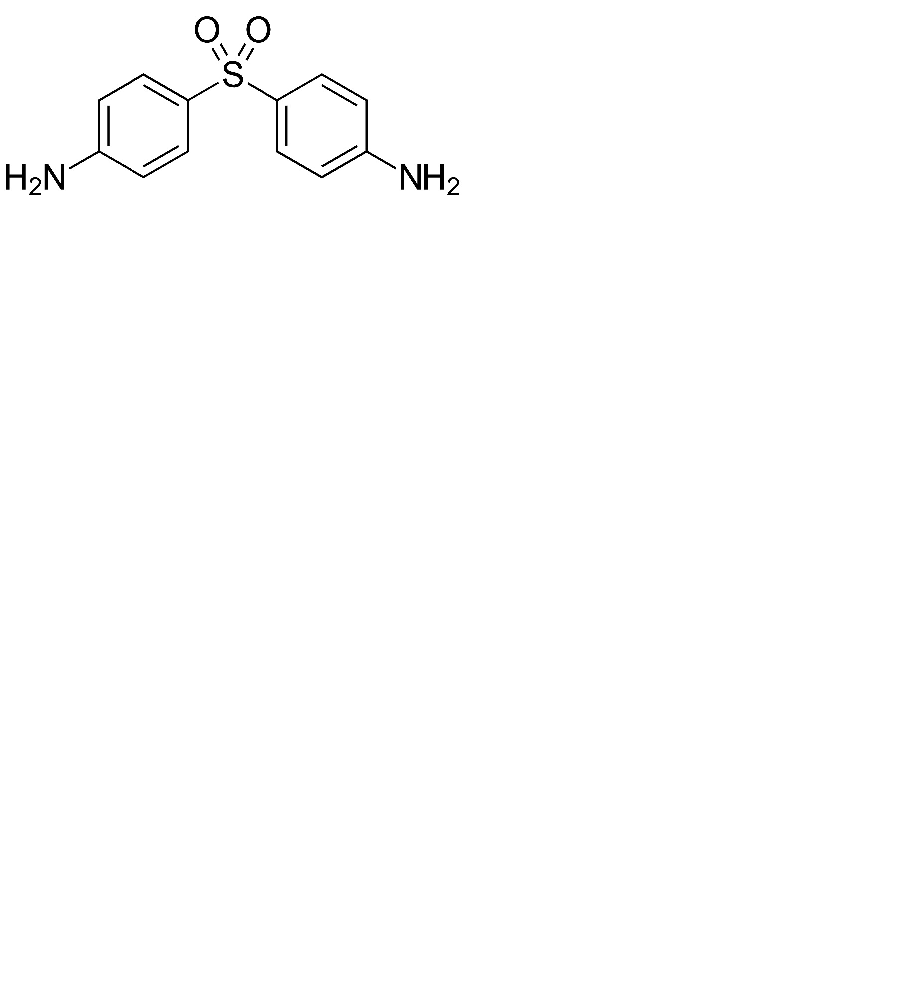
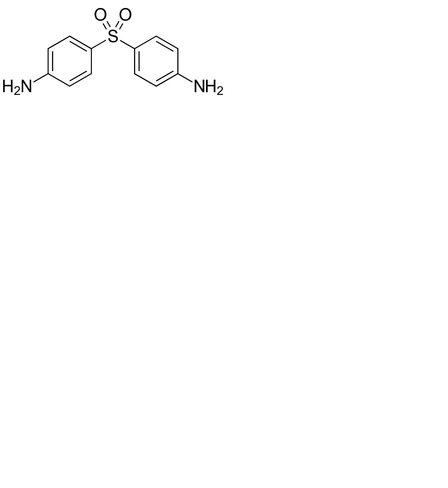
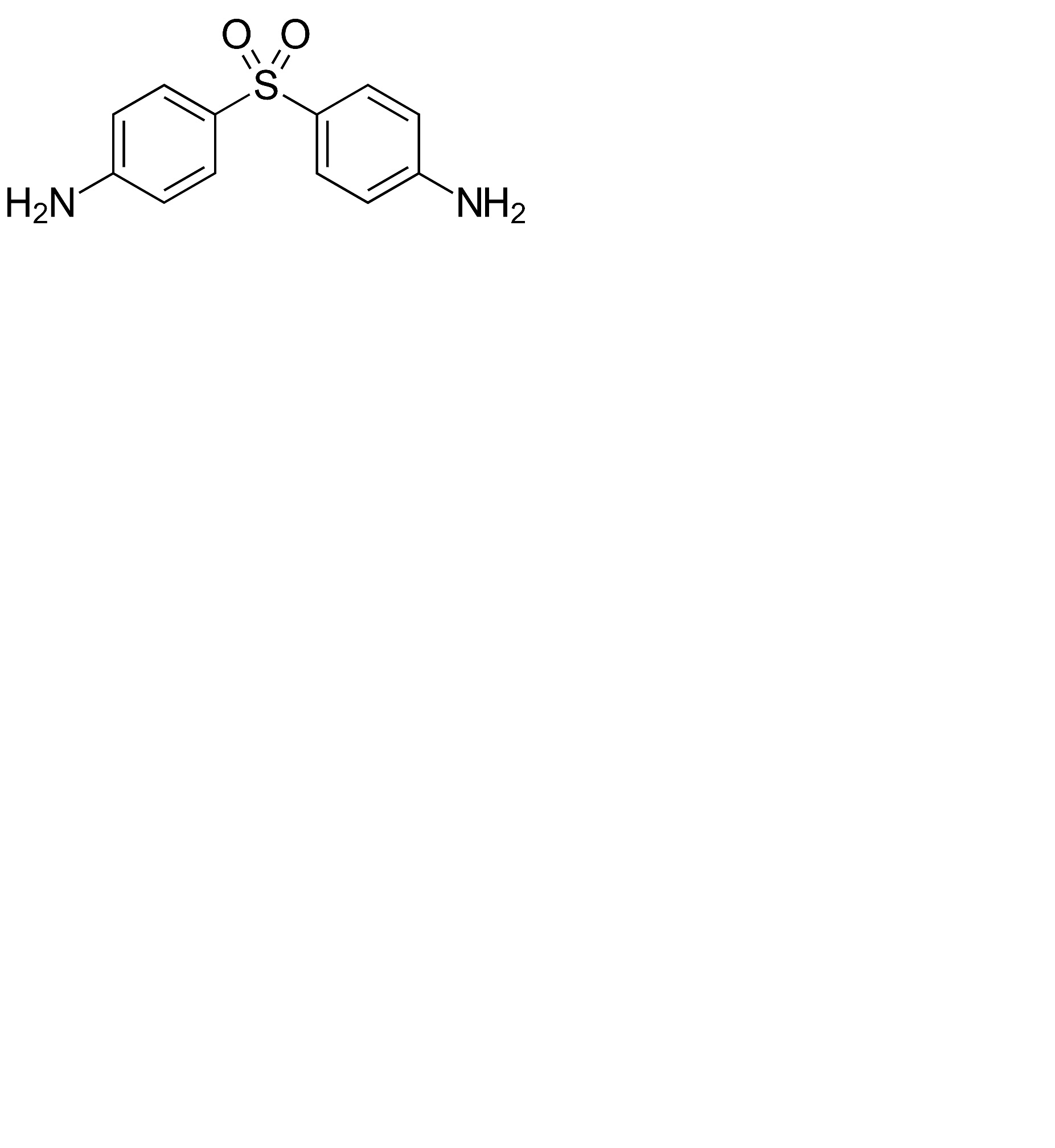
   化学式  

药膏
引用文献   药膏   引用文献 : Dapsone  
种类 出版物
4879 文献 Marianni B, Mansourian M, Koulouridas S, Polonini H.
Compatibility of Active Pharmaceutical Ingredients in Cleoderm: A Comprehensive Study for Enhanced Topical Dermatological Treatments.
Int J Pharm Compound 2024 ;28,5:413-422

  Mentions Légales