Ultimele actualizari :
27/01/2026
Diverse   Quetiapine fumarate  
Soluţie orală
Stabilitatea preparatelor farmaceutice Stabilitatea in amestec Factorii care influenteaza stabilitatea Compatibilitate Bibliografie pdf
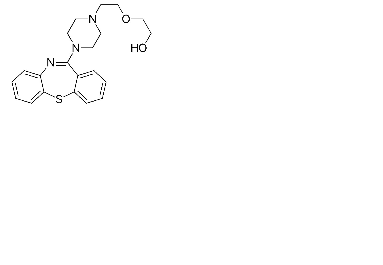
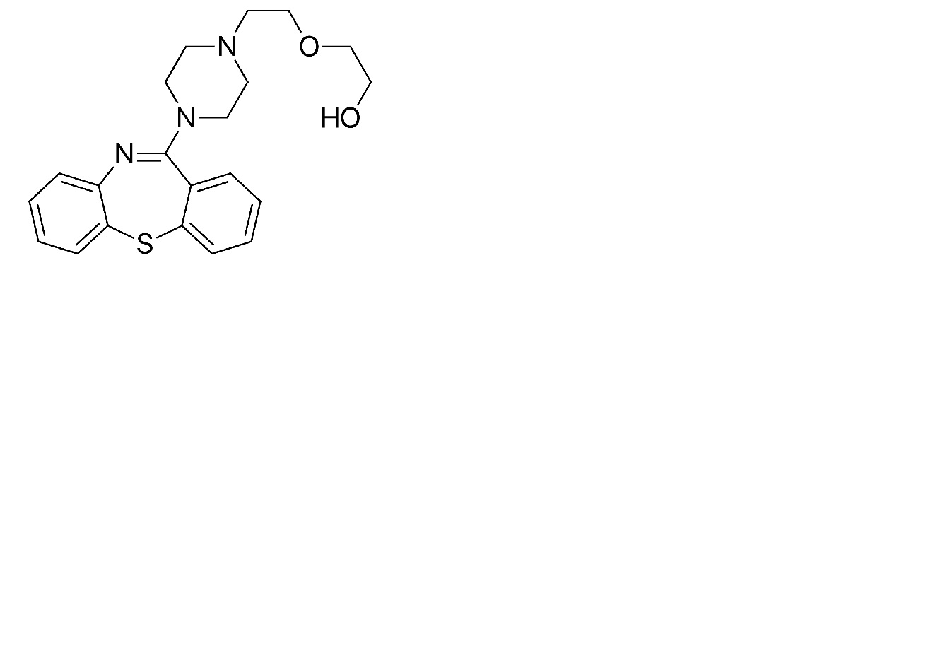
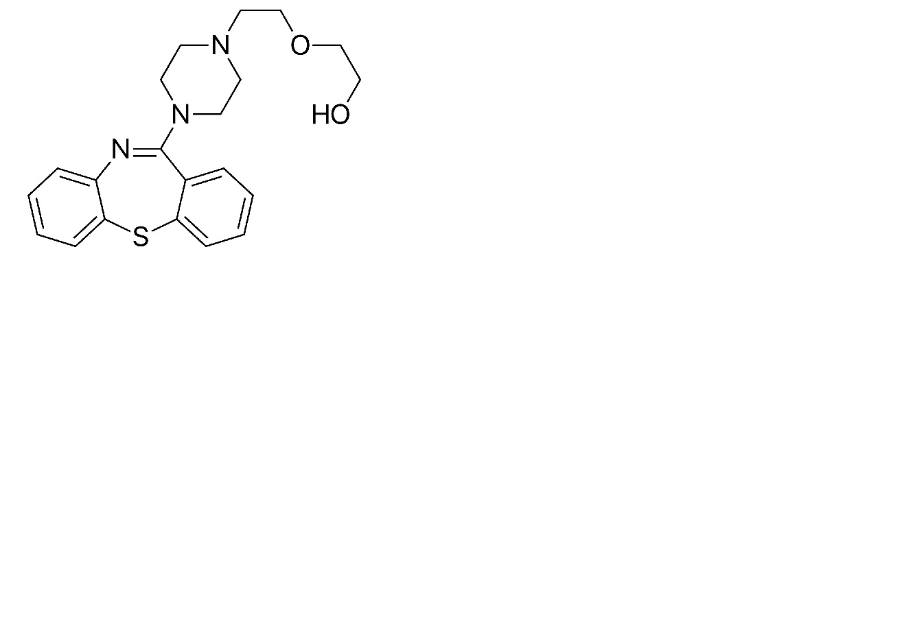
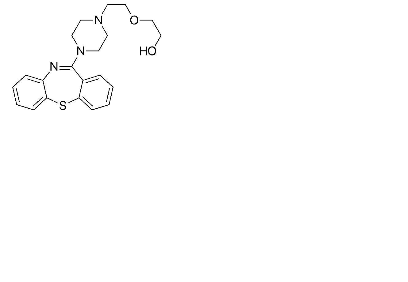
   Formula chimica  

Soluţie orală
Stabilitatea in amestec   Soluţie orală   Stabilitatea in amestec : Quetiapine fumarate     
Absenta de date

  Mentions Légales