Siste oppdatering :
27/01/2026
Forskjellig   Quetiapine fumarate  
Mikstur
Stabilitet av farmasøytiske preparater Stabilitet i blandinger Faktorer som påvirker stabiliteten Kompatibilitet Referanser pdf
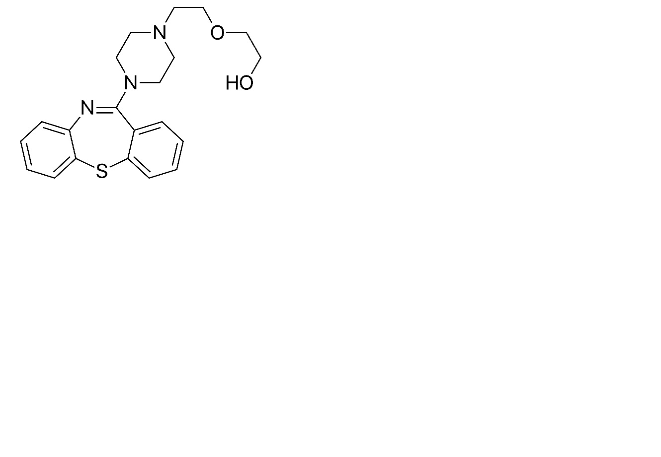
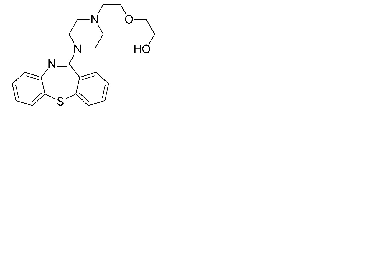
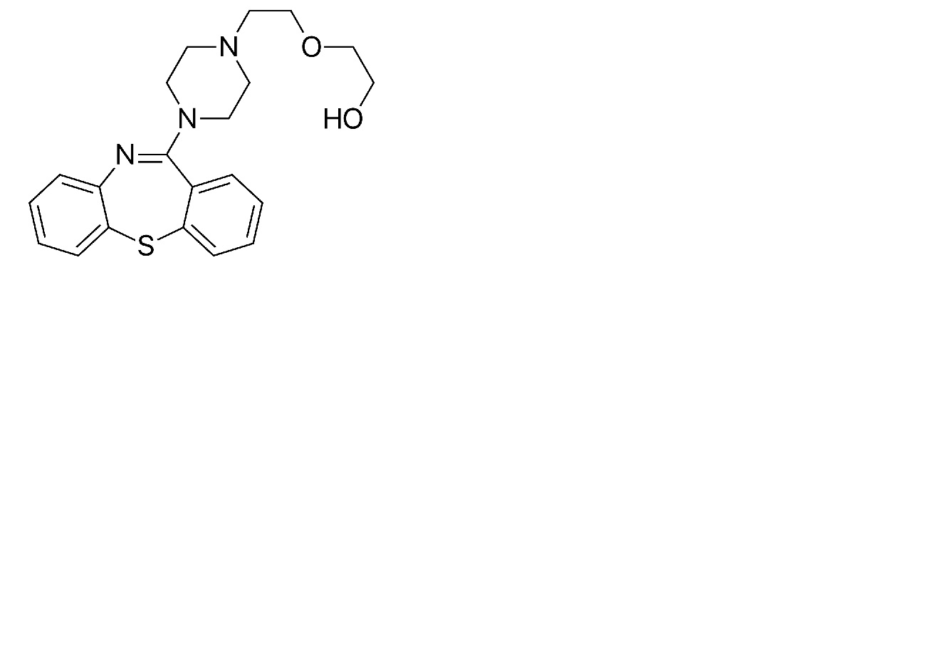
   Kjemisk struktur  

Mikstur
Stabilitet i blandinger   Mikstur   Stabilitet i blandinger : Quetiapine fumarate     
Ingen opplysninger

  Mentions Légales