آخر تحديث :
27/01/2026
مختلف   Quetiapine fumarate  
عن طريق الفم
استقرار المستحضرات الصيدلانية استقرار مخاليط العوامل التي تؤثر على الاستقرار التوافق مراجع pdf
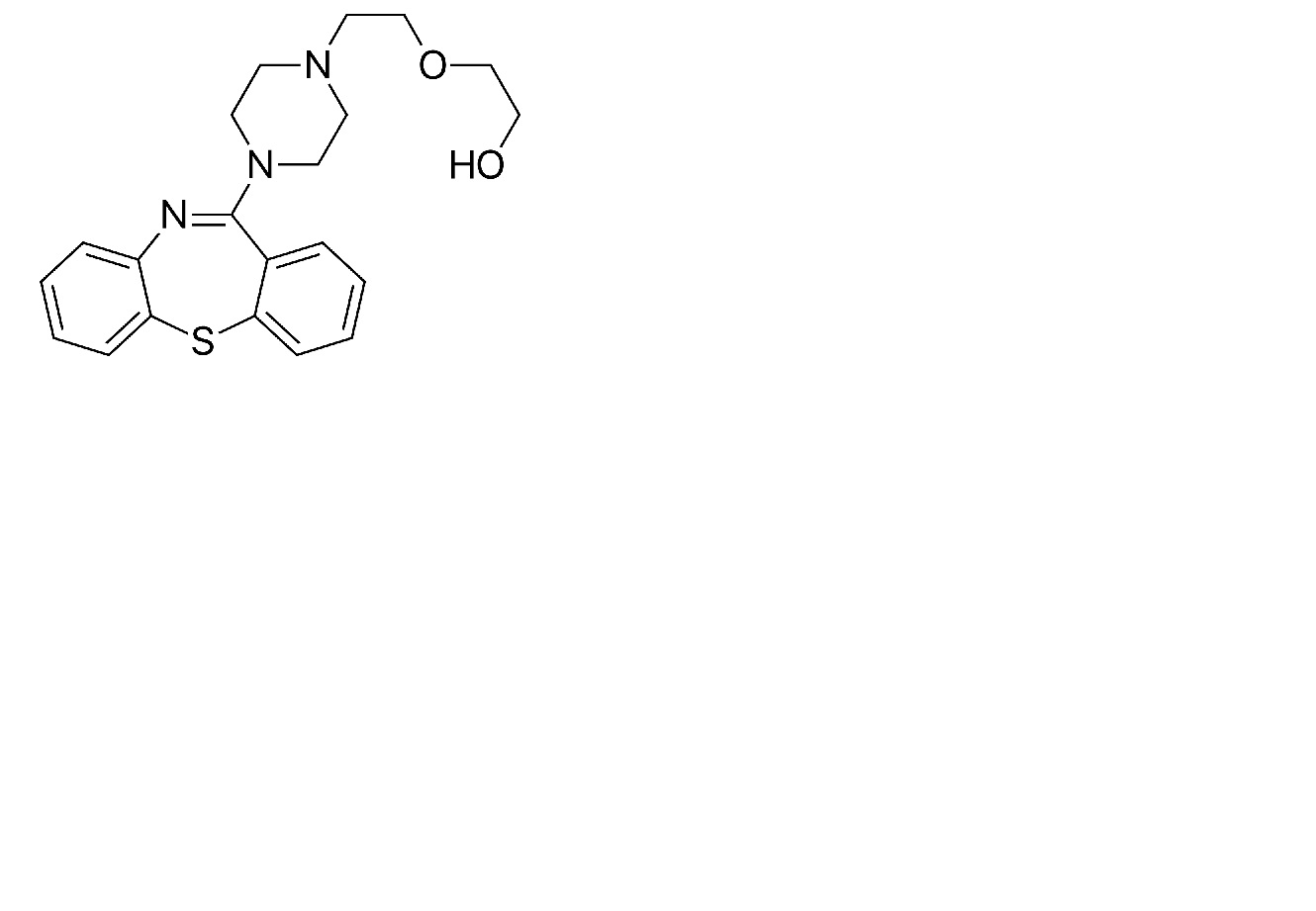
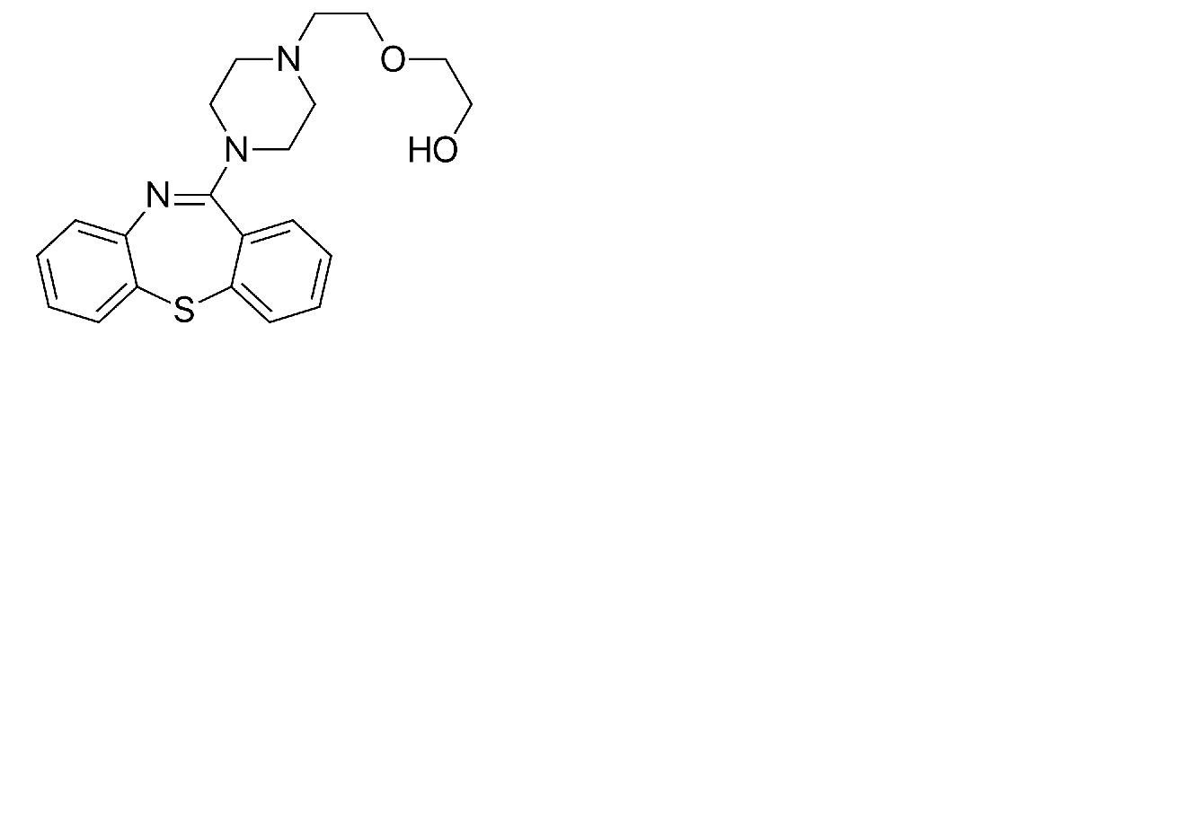
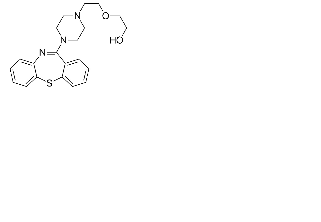
   التركيب الكيميائي  

عن طريق الفم
استقرار مخاليط   عن طريق الفم     استقرار مخاليط : Quetiapine fumarate     
لا توجد بيانات

  Mentions Légales