Zadnji put ažurirano :
27/01/2026
razno   Quetiapine fumarate  
oralna otopina
Stabilnost farmaceutskih pripravaka Stabilnost mješavine Stabilizacijski faktor Kompatibilnosti Bibliografija pdf
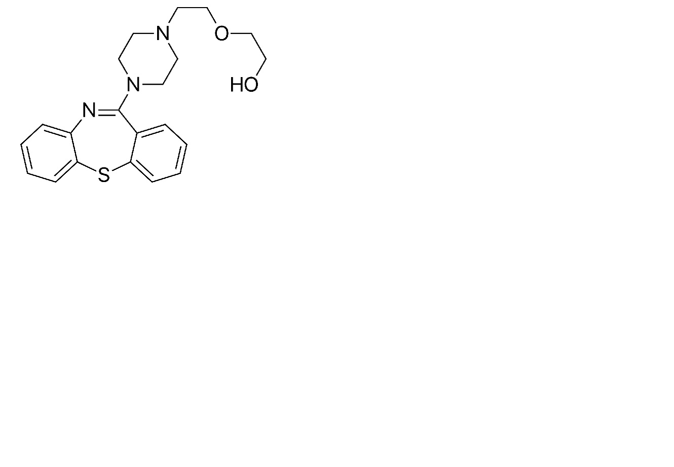
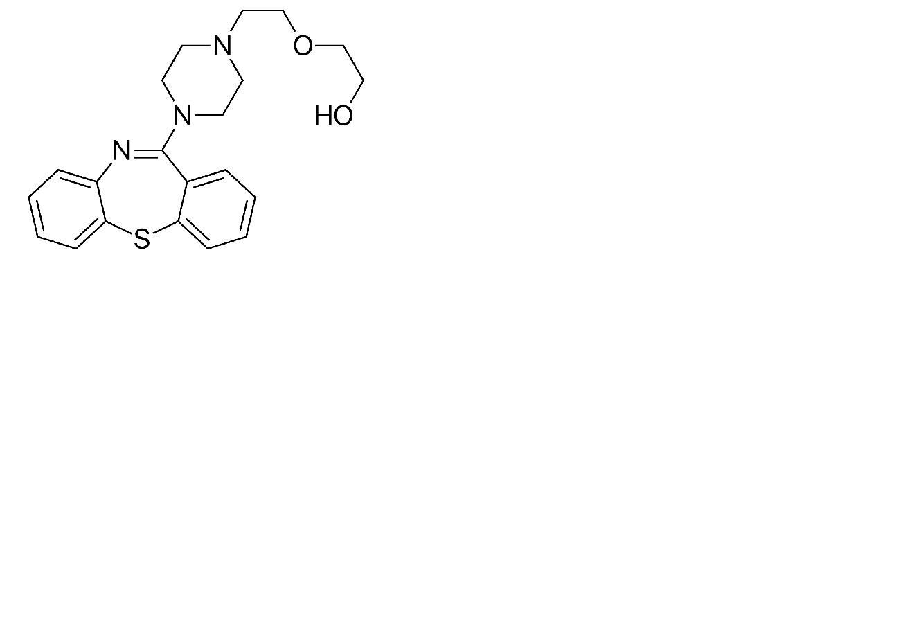
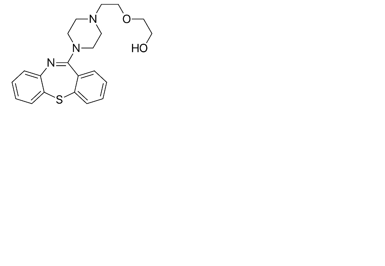
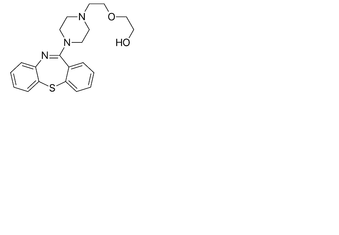
   Kemijska struktura  

oralna otopina
Stabilnost mješavine   oralna otopina     Stabilnost mješavine : Quetiapine fumarate     
bez podataka

  Mentions Légales