Ostatnia aktualizacja :
27/01/2026
Różne   Quetiapine fumarate  
Roztwór doustny
Stabilność preparatów farmaceutycznych Trwałość w mieszaninie Czynnik wpływający na trwałość Zgodność Bibliografia pdf
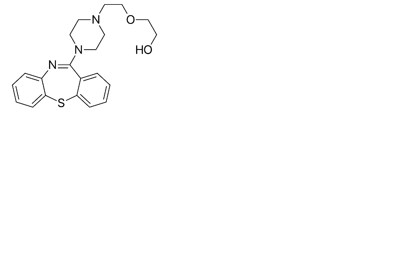
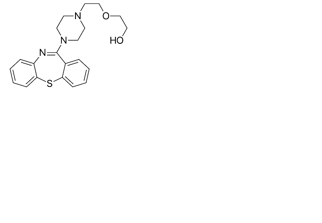
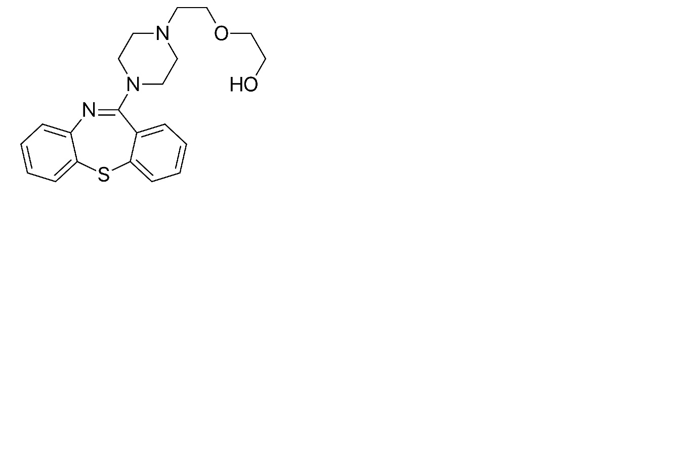
   Struktura chemiczna  

Roztwór doustny

Czynnik wpływający na trwałość   Roztwór doustny   Czynnik wpływający na trwałość : Quetiapine fumarate        
Brak danych

  Mentions Légales