Τελευταία ενημέρωση :
27/04/2026
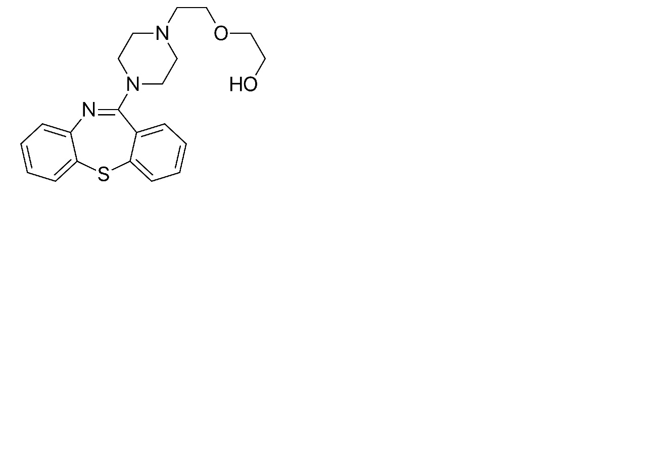
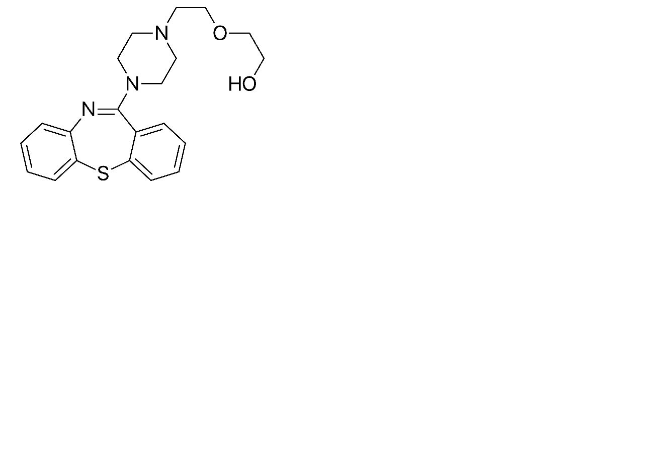
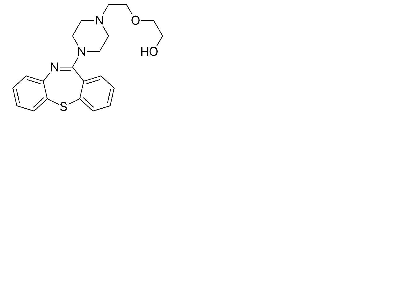
Λοιπά   Quetiapine fumarate  
Πόσιμο διάλυμα
Σταθερότητα και συμβατότητα των φαρμάκων Σταθερότητα σε μίγματα Παράγοντας που επηρεάζει τη σταθερότητα Συμβατότητες Βιβλιογραφία pdf
   χημική δομή  

Πόσιμο διάλυμα

Παράγοντας που επηρεάζει τη σταθερότητα   Πόσιμο διάλυμα   Παράγοντας που επηρεάζει τη σταθερότητα : Quetiapine fumarate        
Δεν υπάρχουν πληροφορίες

  Mentions Légales