Seneste opdatering :
27/01/2026
Diverse   Quetiapine fumarate  
Oral opløsning
Stabilitet af farmaceutiske tilberedninger Stabilitet i blandinger Faktorer der påvirker stabiliteten Kompatibilitet Bibliografi pdf
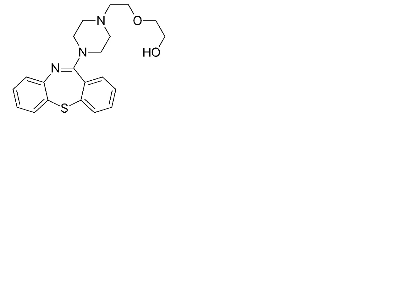
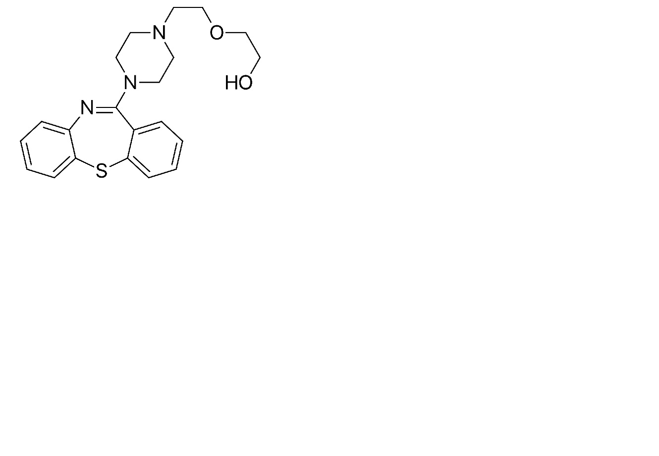
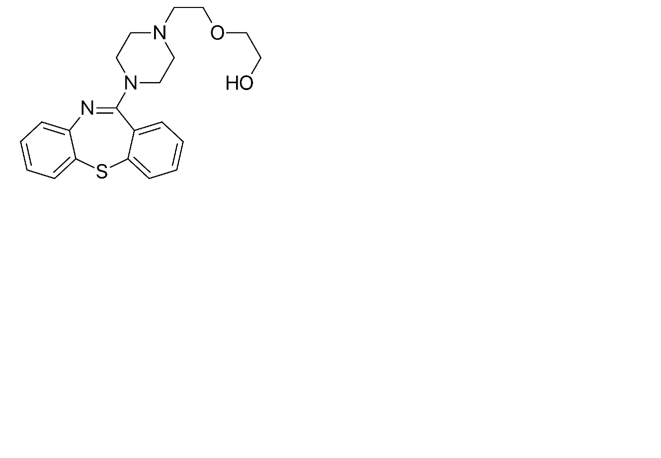
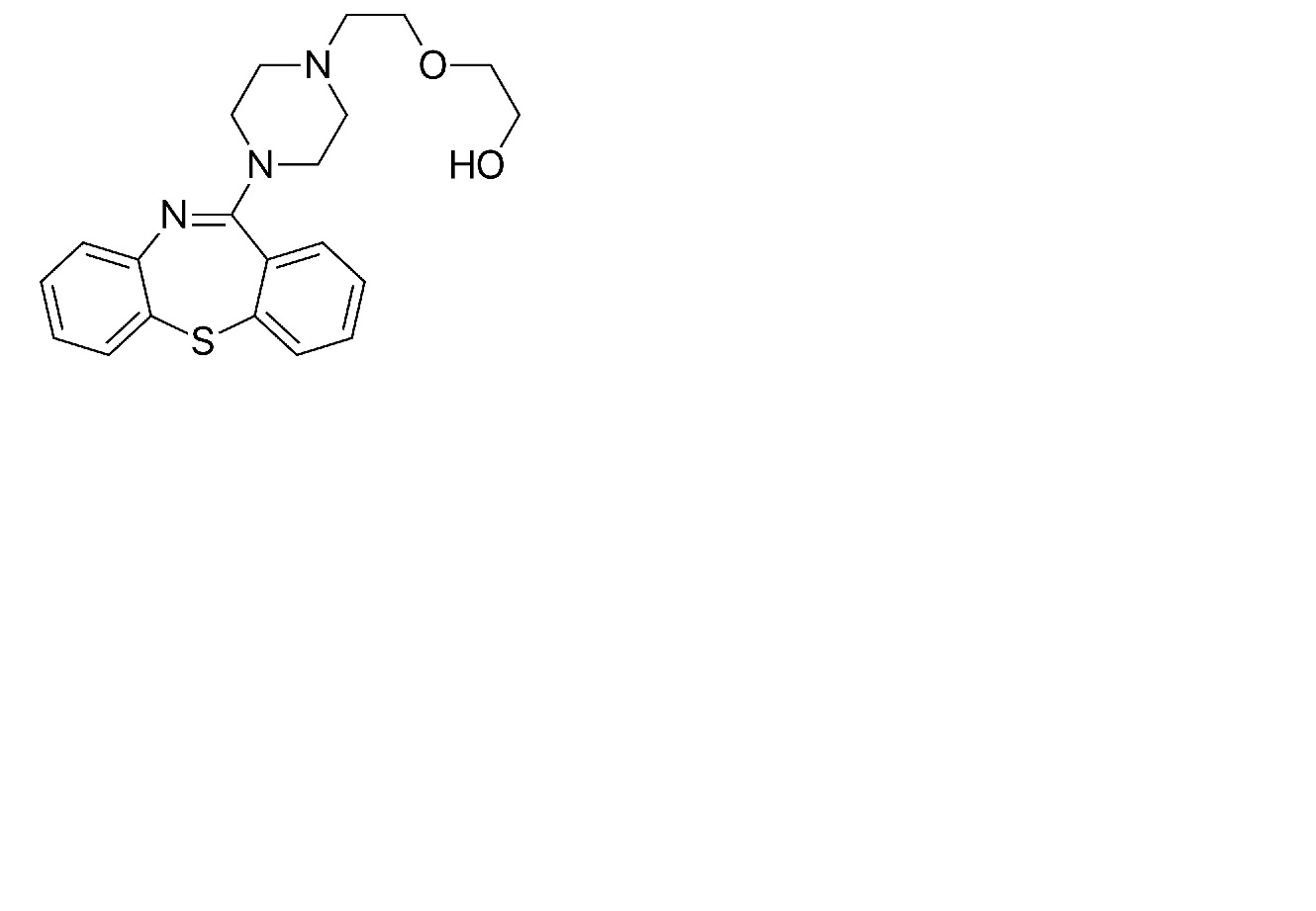
   Kemisk struktur  

Oral opløsning

Faktorer der påvirker stabiliteten   Oral opløsning   Faktorer der påvirker stabiliteten : Quetiapine fumarate        
Ingen data

  Mentions Légales