Poslední aktualizace :
27/01/2026
Různé   Quetiapine fumarate  
Perorální roztok
Stabilita farmaceutických přípravků Stabilita směsí Faktory ovlivňující stabilitu Kompatibilita Odkazy pdf
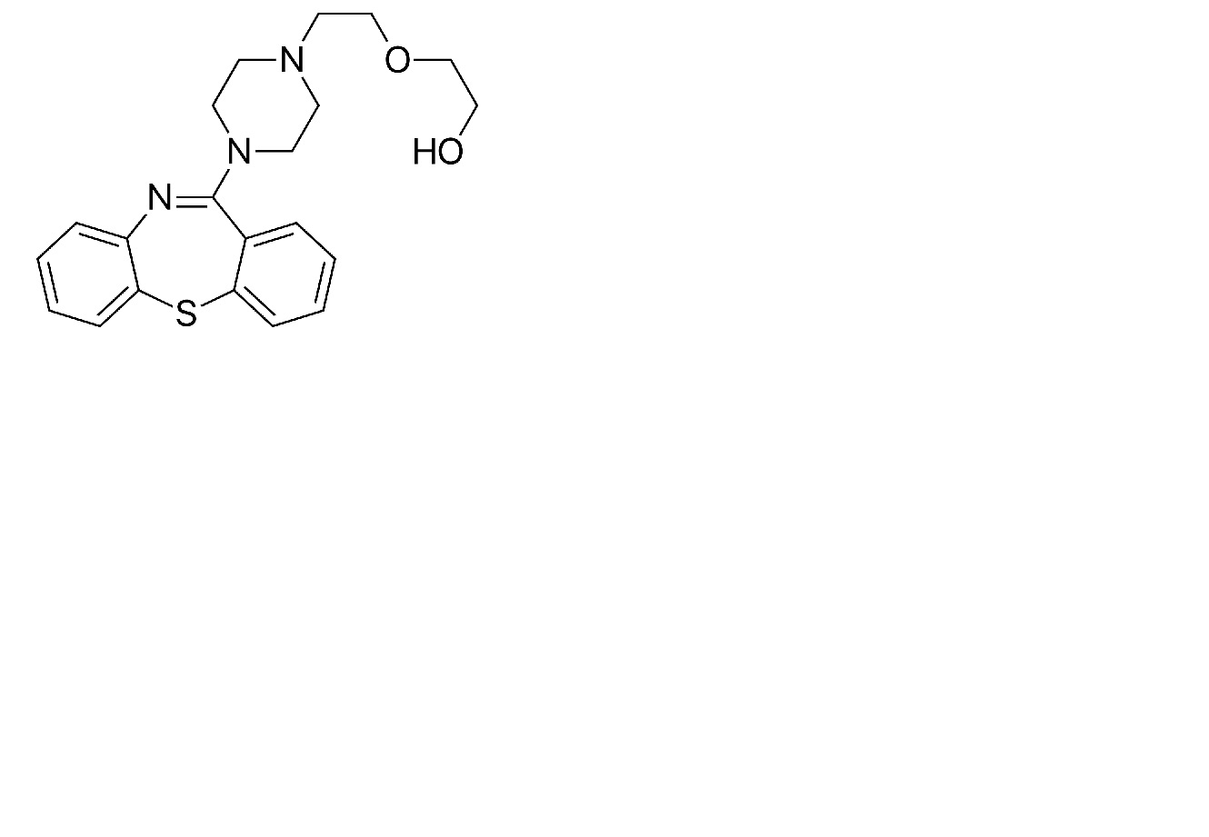
   Chemický vzorec  

Perorální roztok

Faktory ovlivňující stabilitu   Perorální roztok   Faktory ovlivňující stabilitu : Quetiapine fumarate        
žádná data

  Mentions Légales