Ultimele actualizari :
27/04/2026
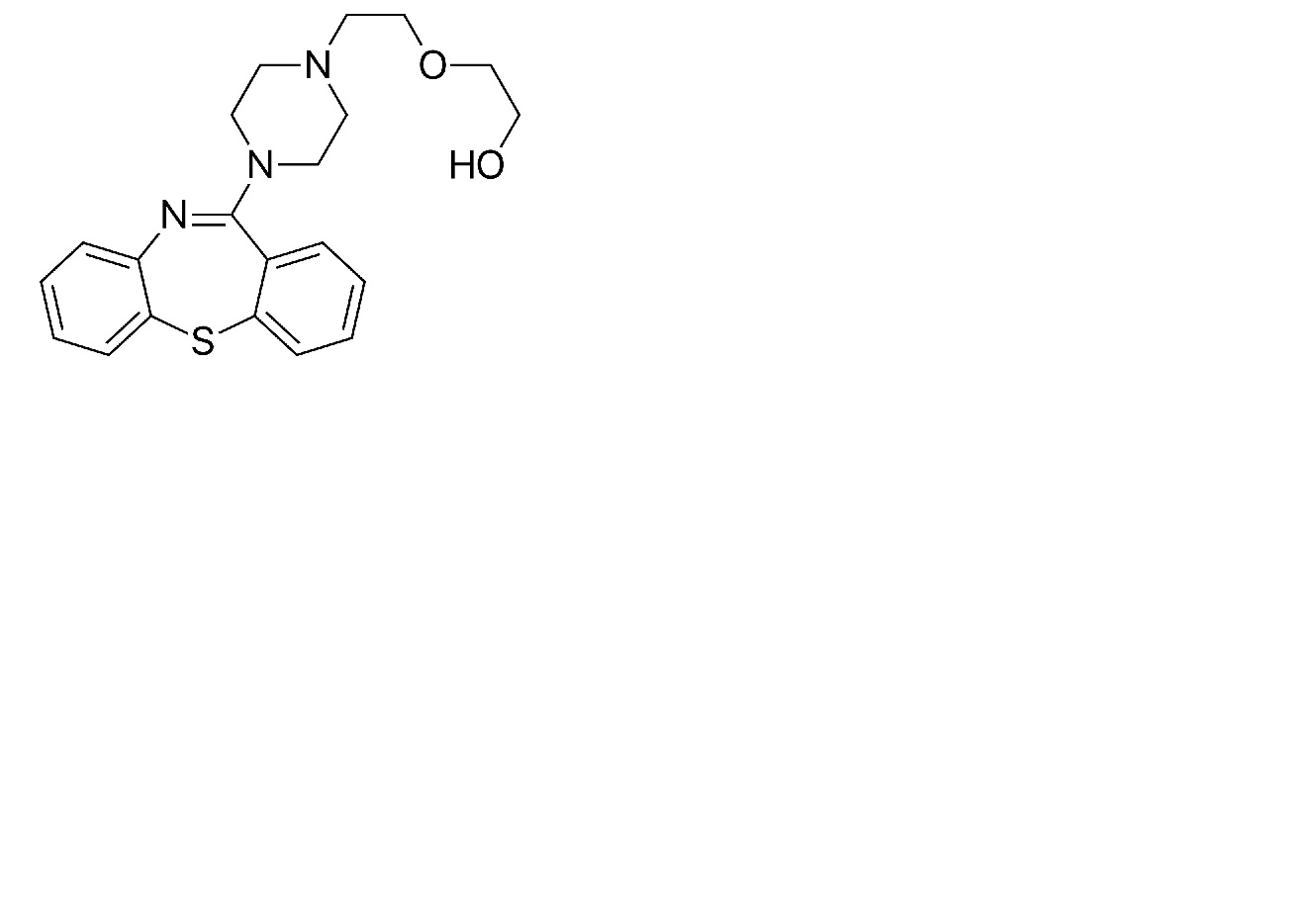
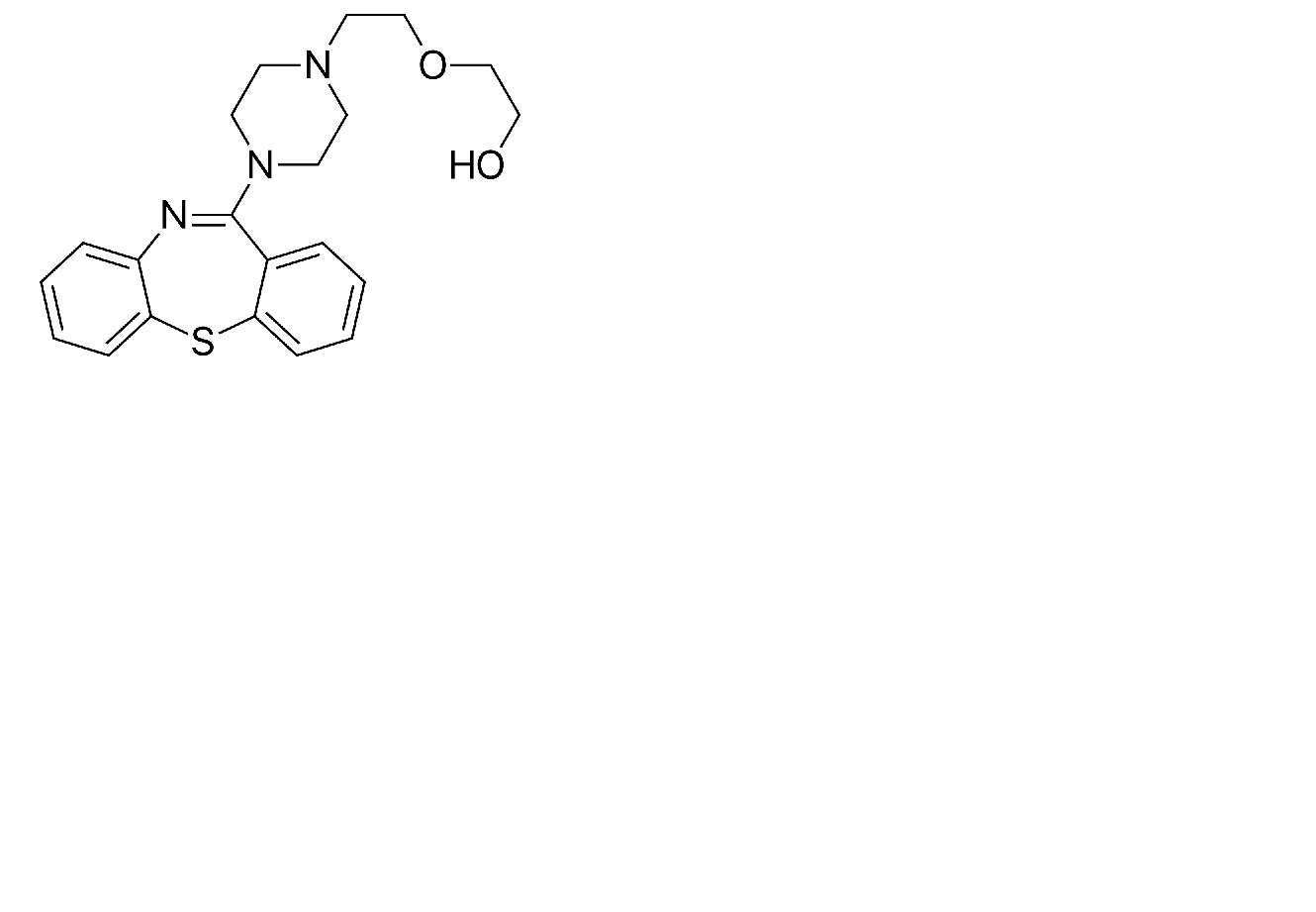
Diverse   Quetiapine fumarate  
Soluţie orală
Stabilitatea preparatelor farmaceutice Stabilitatea in amestec Factorii care influenteaza stabilitatea Compatibilitate Bibliografie pdf
   Formula chimica  

Soluţie orală
Bibliografie   Soluţie orală   Bibliografie : Quetiapine fumarate  
tip publicare
4609 ziar Tran J, Gervase M.A, Evans J, Deville R, Dong X.
The stability of quetiapine oral suspension compounded from commercially available tablets.
PlosOne 2021 ; 16(8): e0255963.

  Mentions Légales