آخر تحديث :
27/04/2026
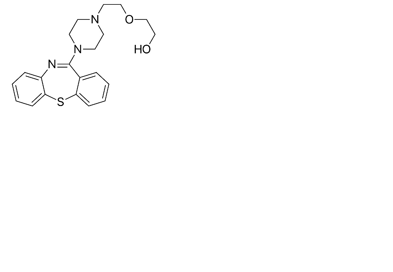
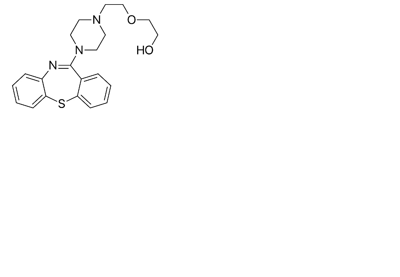
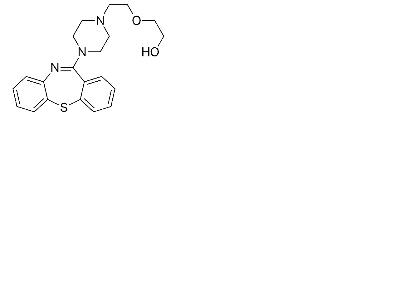
مختلف   Quetiapine fumarate  
عن طريق الفم
استقرار المستحضرات الصيدلانية استقرار مخاليط العوامل التي تؤثر على الاستقرار التوافق مراجع pdf
   التركيب الكيميائي  

عن طريق الفم
مراجع   عن طريق الفم     مراجع : Quetiapine fumarate  
نوع منشور
4609 مجلة Tran J, Gervase M.A, Evans J, Deville R, Dong X.
The stability of quetiapine oral suspension compounded from commercially available tablets.
PlosOne 2021 ; 16(8): e0255963.

  Mentions Légales