Seneste opdatering :
27/04/2026
Diverse   Quetiapine fumarate  
Oral opløsning
Stabilitet af farmaceutiske tilberedninger Stabilitet i blandinger Faktorer der påvirker stabiliteten Kompatibilitet Bibliografi pdf
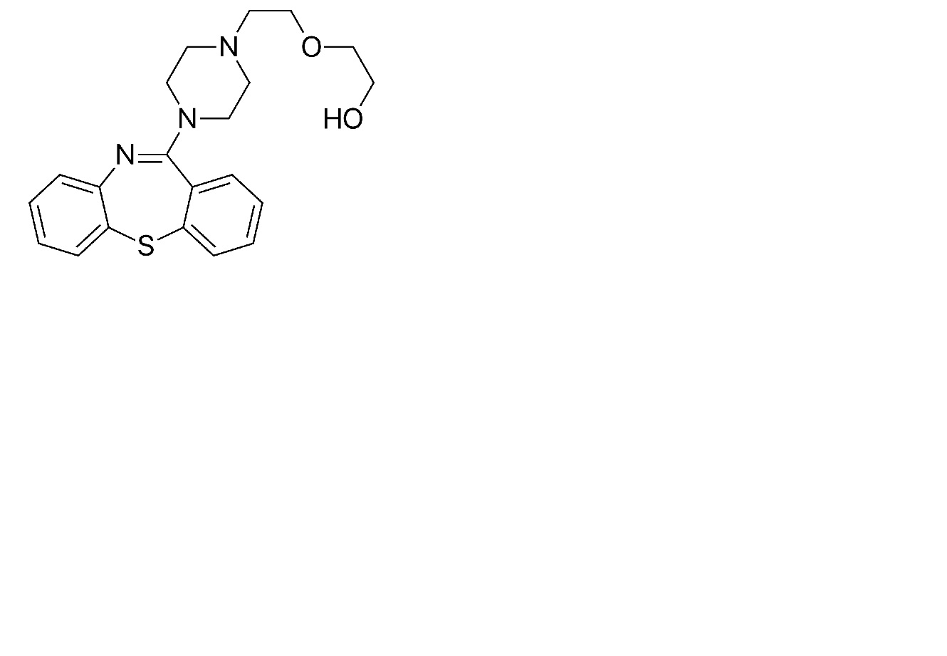
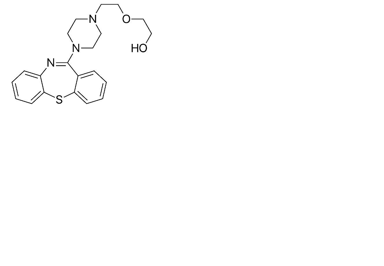
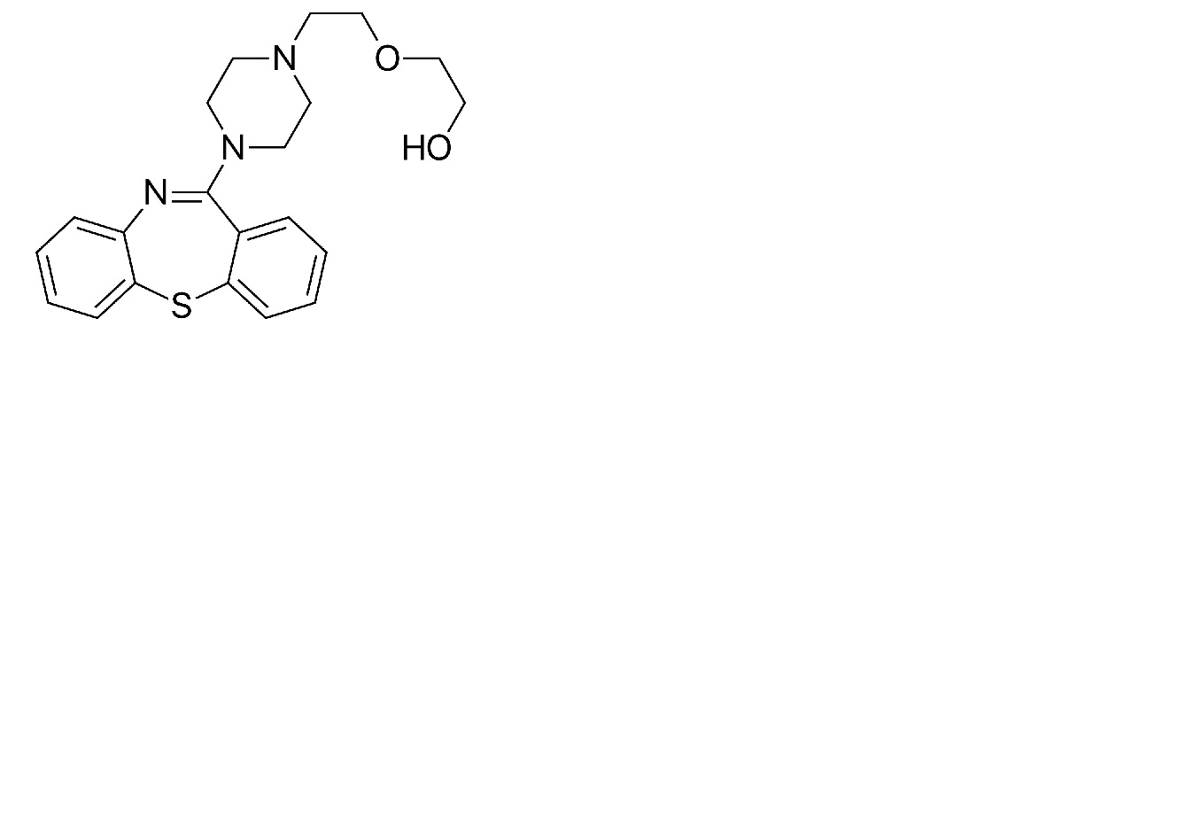
   Kemisk struktur  

Oral opløsning
Bibliografi   Oral opløsning   Bibliografi : Quetiapine fumarate  
Type offentliggørelse
4609 Journal Tran J, Gervase M.A, Evans J, Deville R, Dong X.
The stability of quetiapine oral suspension compounded from commercially available tablets.
PlosOne 2021 ; 16(8): e0255963.

  Mentions Légales