viimane versioon :
27/04/2026
mitmesugune   Quetiapine fumarate  
suukaudne lahus
Stabiilsust ravimpreparaadid Stabiilsust mõjutavad tegurid stabiilsust mõjutavad faktorid Sobimatus Viited pdf
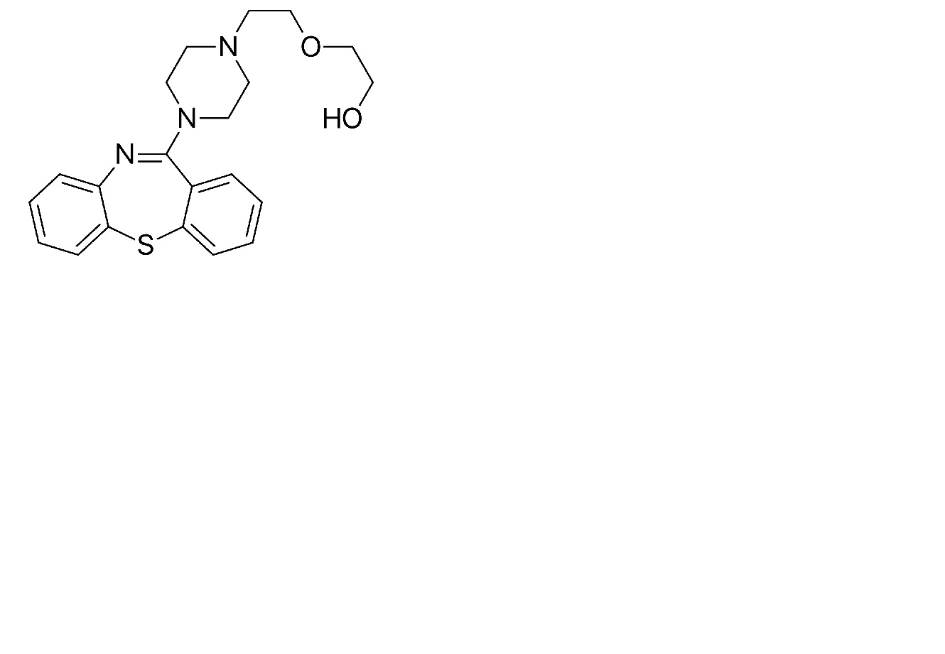
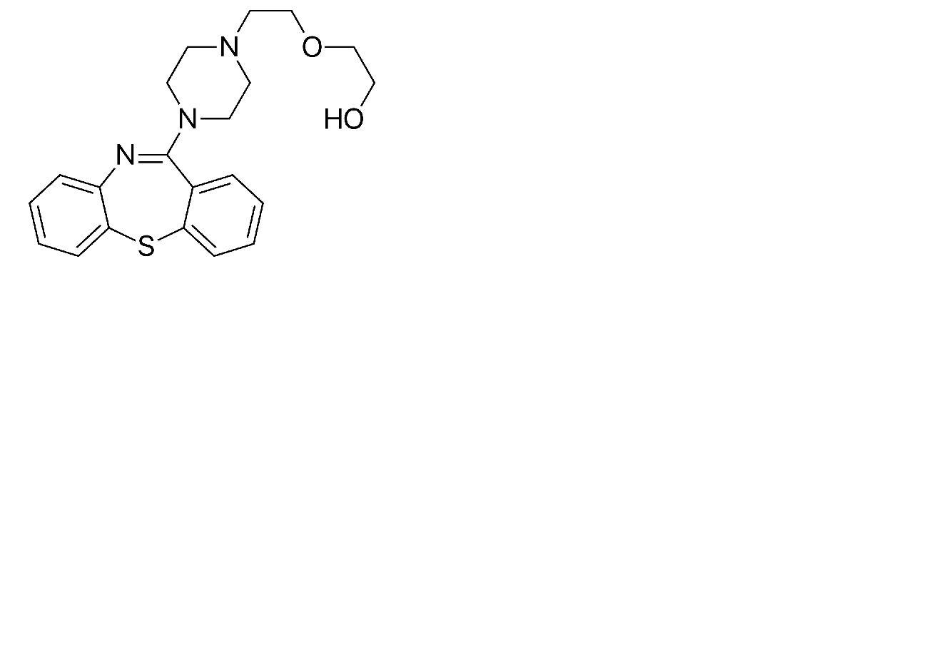
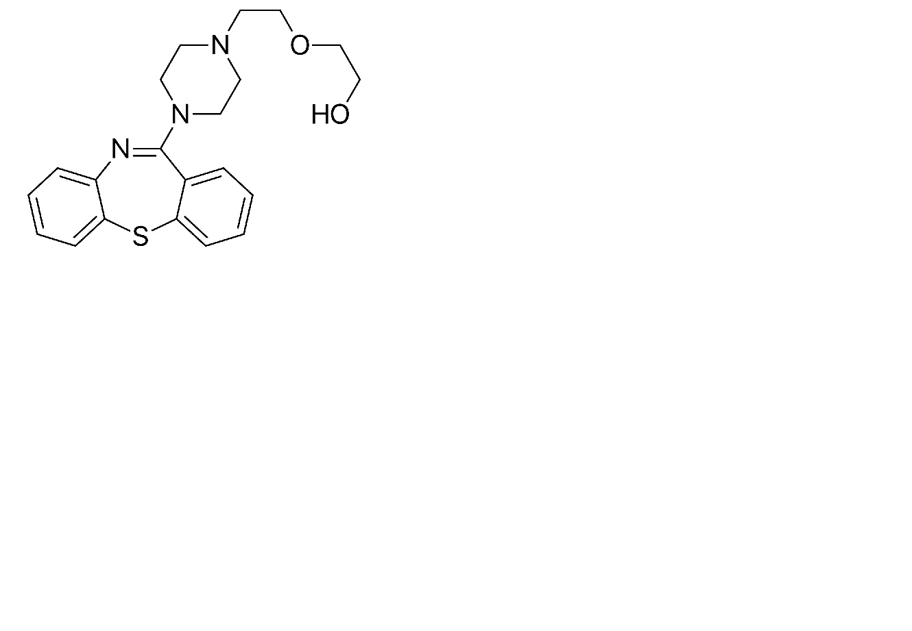
   keemiline struktuur  

suukaudne lahus
Viited   suukaudne lahus   Viited : Quetiapine fumarate  
tüüp avaldamine
4609 ajaleht Tran J, Gervase M.A, Evans J, Deville R, Dong X.
The stability of quetiapine oral suspension compounded from commercially available tablets.
PlosOne 2021 ; 16(8): e0255963.

  Mentions Légales