Son güncelleme :
27/01/2026
Antiaritmik   Propafenone Hydrochloride  
Oral solüsyon / oral çözelti
Enjeksiyon
Farmasötik preparatlar Kararlılığı Karışımlardaki stabilitesi Stabiliteyi etkileyen faktörler Uyumluluk Kaynaklar pdf
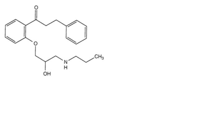
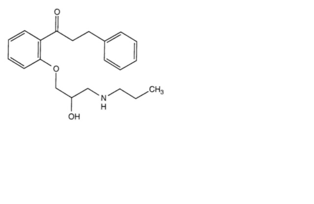
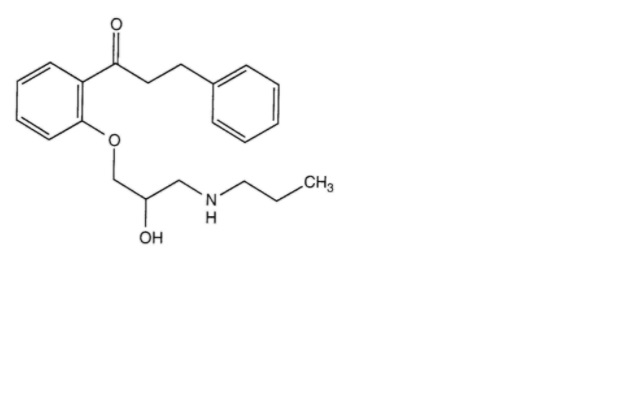
   Kimyasal yapı   

Oral solüsyon / oral çözelti
Farmasötik preparatlar Kararlılığı   Oral solüsyon / oral çözelti   Farmasötik preparatlar Kararlılığı : Propafenone Hydrochloride     
Saklama kabı Origine yardımcı madde Isı Saklama    Stabilite süresi Kaynaklar
Plastik şişe Tabletler 1000 mg
® = Abbott Laboratories
OraPlus® / OraSweet® (1:1) >> 100 mL
2-8°C Belirtilmemiş
90 Gün
4547

Plastik şişe Tabletler 1000 mg
® = Abbott Laboratories
OraPlus® / OraSweet® (1:1) >> 100 mL
22-30°C Belirtilmemiş
90 Gün
4547


  Mentions Légales