Seneste opdatering :
18/03/2026
Infostab
Lister
Bversigter
Søg efter kompatibilitet
Y-site kompatibilitetstabel
Bibliografi
forskerhold
valistab
Poster
Links
sponsorer
Forfatter
Brugervejledning
Nyhedsbrev
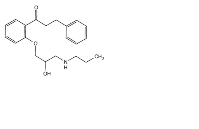
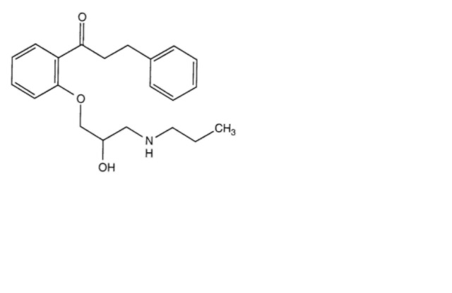
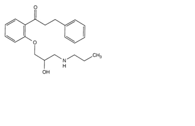
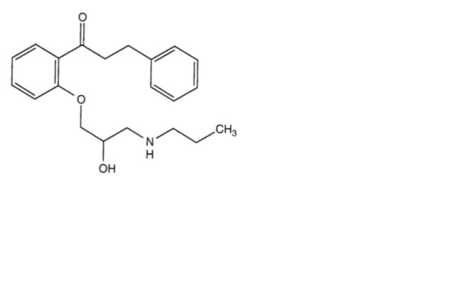
Propafenone Hydrochloride
Kemisk struktur
Stabilitet af farmaceutiske tilberedninger : Propafenone Hydrochloride
1000 mg
® = Abbott Laboratories
OraPlus® / OraSweet® (1:1)
>> 100 mL
2-8°C
90
4547
1000 mg
® = Abbott Laboratories
OraPlus® / OraSweet® (1:1)
>> 100 mL
22-30°C
90
4547
Mentions Légales