最新更新 :
27/01/2026
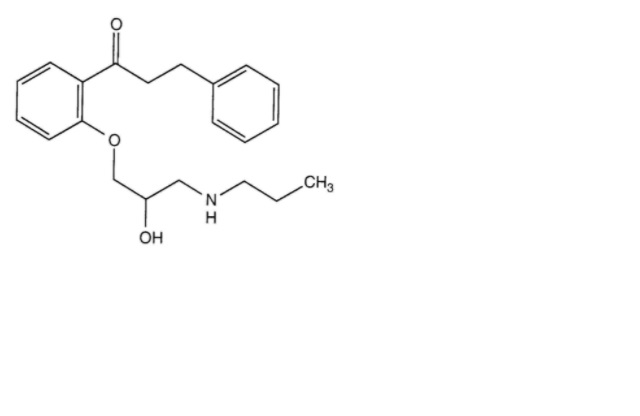
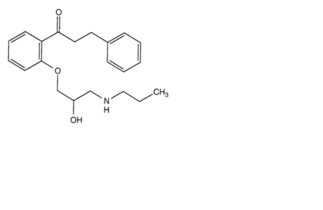
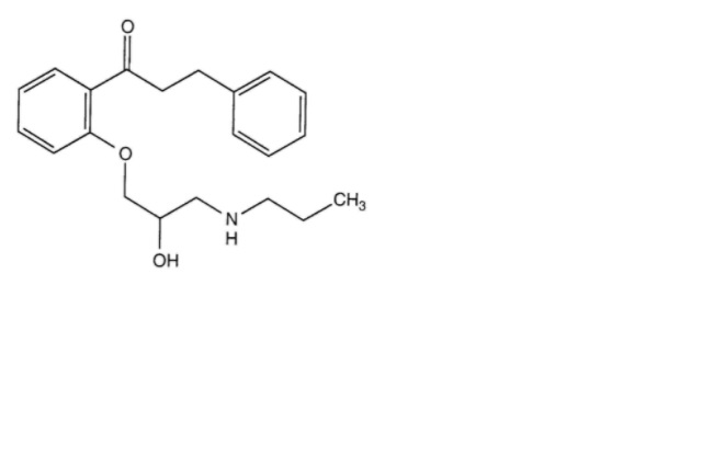
抗心律不齐药   Propafenone Hydrochloride  
口服剂
注射液
制剂的稳定性 混合物稳定性 影响稳定性的因素 兼容性 引用文献 PDF
   化学式  

口服剂
制剂的稳定性   口服剂   制剂的稳定性 : Propafenone Hydrochloride     
容器 Origine 添加剂 温度 保存 穩定持續時間 引用文献
塑料瓶 片剂 1000 mg
® = Abbott Laboratories
OraPlus® / OraSweet® (1:1) >> 100 mL
2-8°C 无特殊要求
90 白天
4547

塑料瓶 片剂 1000 mg
® = Abbott Laboratories
OraPlus® / OraSweet® (1:1) >> 100 mL
22-30°C 无特殊要求
90 白天
4547


  Mentions Légales