Utolsó frissítés :
27/01/2026
Antiaritmiás szer   Propafenone Hydrochloride  
belsőleges oldat
Injekció
Stabilitása gyógyszerészeti készítmények A keverékek stabilitása Stabilitást befolyásoló tényezők Kompatibilitás Irodalom pdf
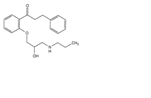
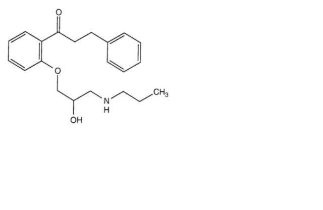
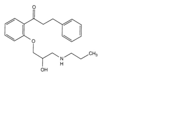
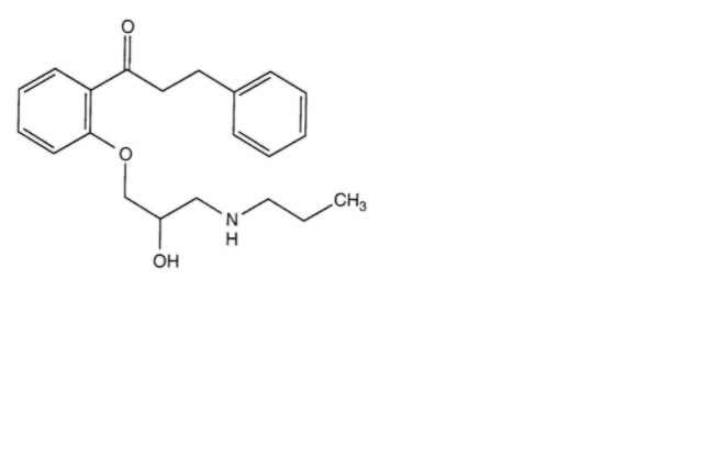
   Kémiai szerkezet   

belsőleges oldat
Stabilitása gyógyszerészeti készítmények   belsőleges oldat   Stabilitása gyógyszerészeti készítmények : Propafenone Hydrochloride     
Csomagolás Origine segédanyag Hőmérséklet Tárolás A stabilitás időtartama Irodalom
műanyag flakon tabletta 1000 mg
® = Abbott Laboratories
OraPlus® / OraSweet® (1:1) >> 100 mL
2-8°C Nincs meghatározva
90 Nap
4547

műanyag flakon tabletta 1000 mg
® = Abbott Laboratories
OraPlus® / OraSweet® (1:1) >> 100 mL
22-30°C Nincs meghatározva
90 Nap
4547


  Mentions Légales