آخر تحديث :
27/01/2026
مكافحة عدم اتساق نبضات القلب   Propafenone Hydrochloride  
عن طريق الفم
حقن
استقرار المستحضرات الصيدلانية استقرار مخاليط العوامل التي تؤثر على الاستقرار التوافق مراجع pdf
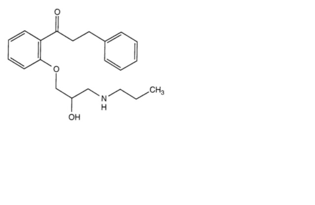
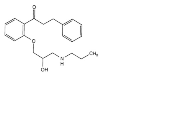
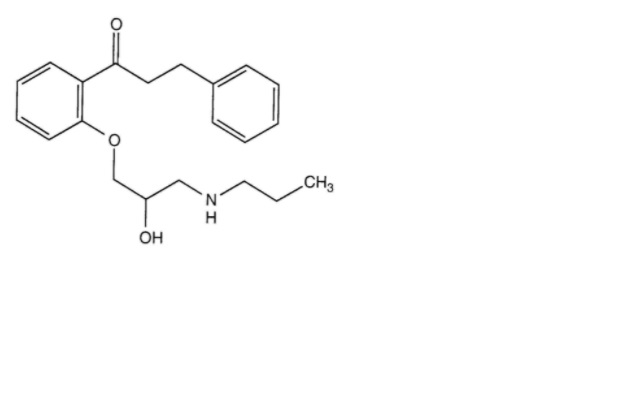
   التركيب الكيميائي  

عن طريق الفم
التوافق   عن طريق الفم     التوافق : Propafenone Hydrochloride              
لا توجد بيانات

  Mentions Légales