Ultimo aggiornamento :
27/01/2026
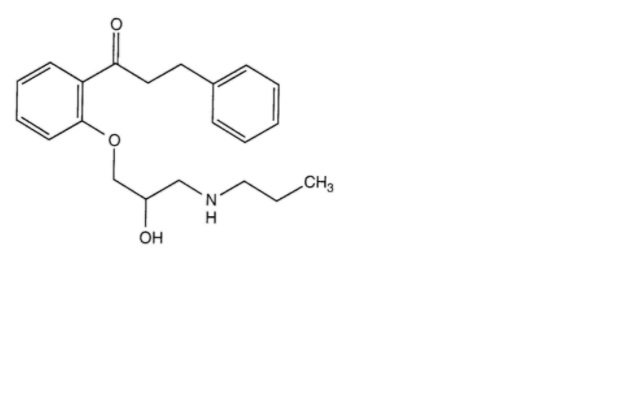
Antiaritmico   Propafenone Hydrochloride  
Soluzione orale
Iniezione
Stabilità dei preparati farmaceutici Stabilità in miscela Fattori che influenzano la stabilità Compatibilità Bibliografia pdf
   Struttura chimica  

Soluzione orale
Compatibilità   Soluzione orale   Compatibilità : Propafenone Hydrochloride              
Assenza di dati

  Mentions Légales