Viimeisin päivitys :
27/01/2026
Rytmihäiriölääkkeet   Propafenone Hydrochloride  
Oraaliliuos
Injektioneste
Vakaus lääkevalmisteen Stabilius seoksissa Tekijät, jotka vaikuttavat stabiliuteen Yhteensopivuus Viitteet pdf
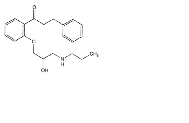
   Kemiallinen rakenne  

Oraaliliuos
Yhteensopivuus   Oraaliliuos   Yhteensopivuus : Propafenone Hydrochloride              
ei tietoa

  Mentions Légales