Ostatnia aktualizacja :
27/01/2026
Lek rozszerzający naczynia   Ambrisentan  
Roztwór doustny
Stabilność preparatów farmaceutycznych Trwałość w mieszaninie Czynnik wpływający na trwałość Zgodność Bibliografia pdf
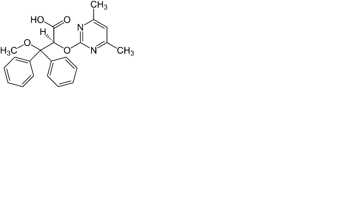
   Struktura chemiczna  

Roztwór doustny

Czynnik wpływający na trwałość   Roztwór doustny   Czynnik wpływający na trwałość : Ambrisentan        
Brak danych

  Mentions Légales