Poslední aktualizace :
27/04/2026
Vasodilatans   Ambrisentan  
Perorální roztok
Stabilita farmaceutických přípravků Stabilita směsí Faktory ovlivňující stabilitu Kompatibilita Odkazy pdf
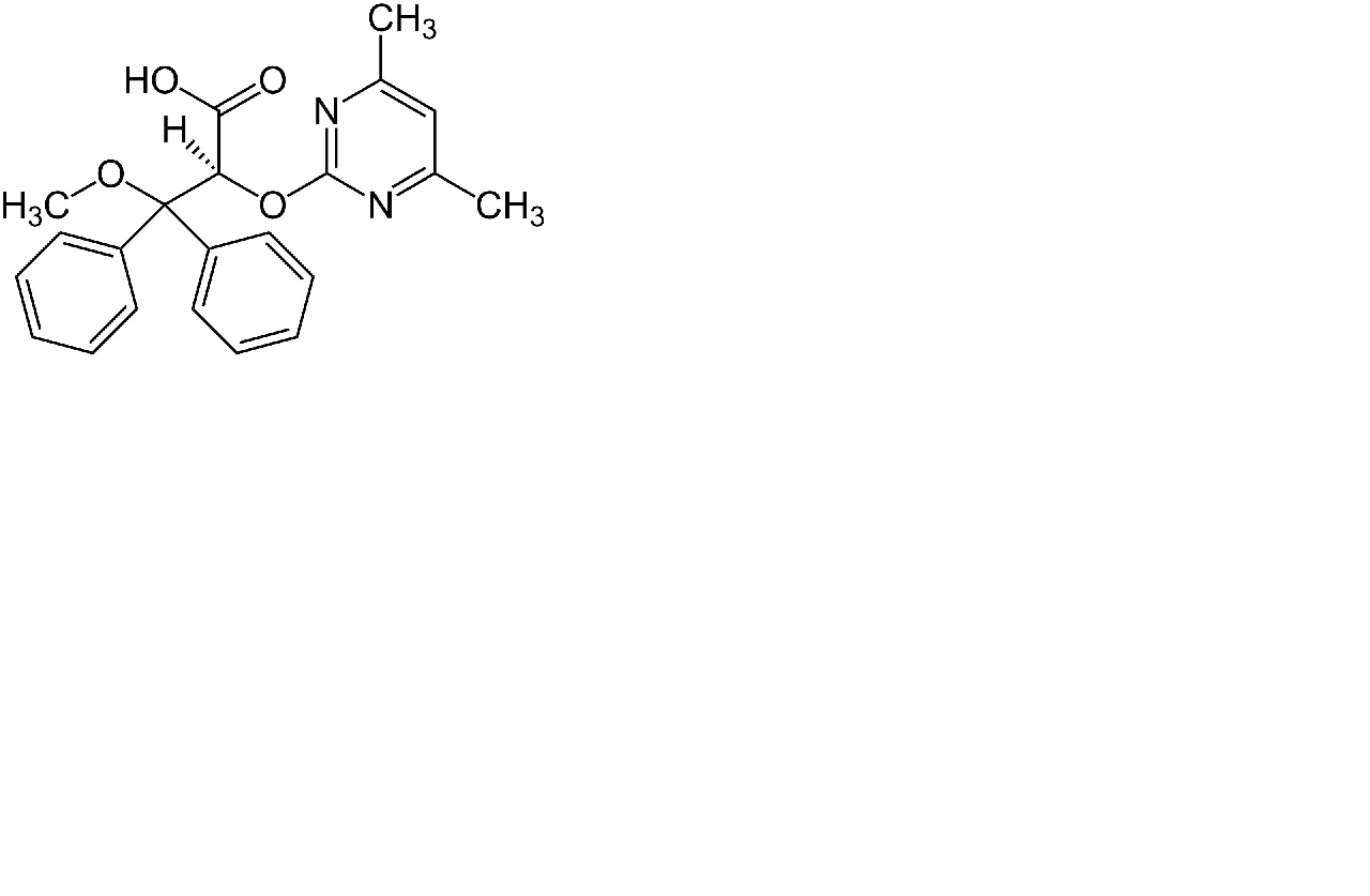
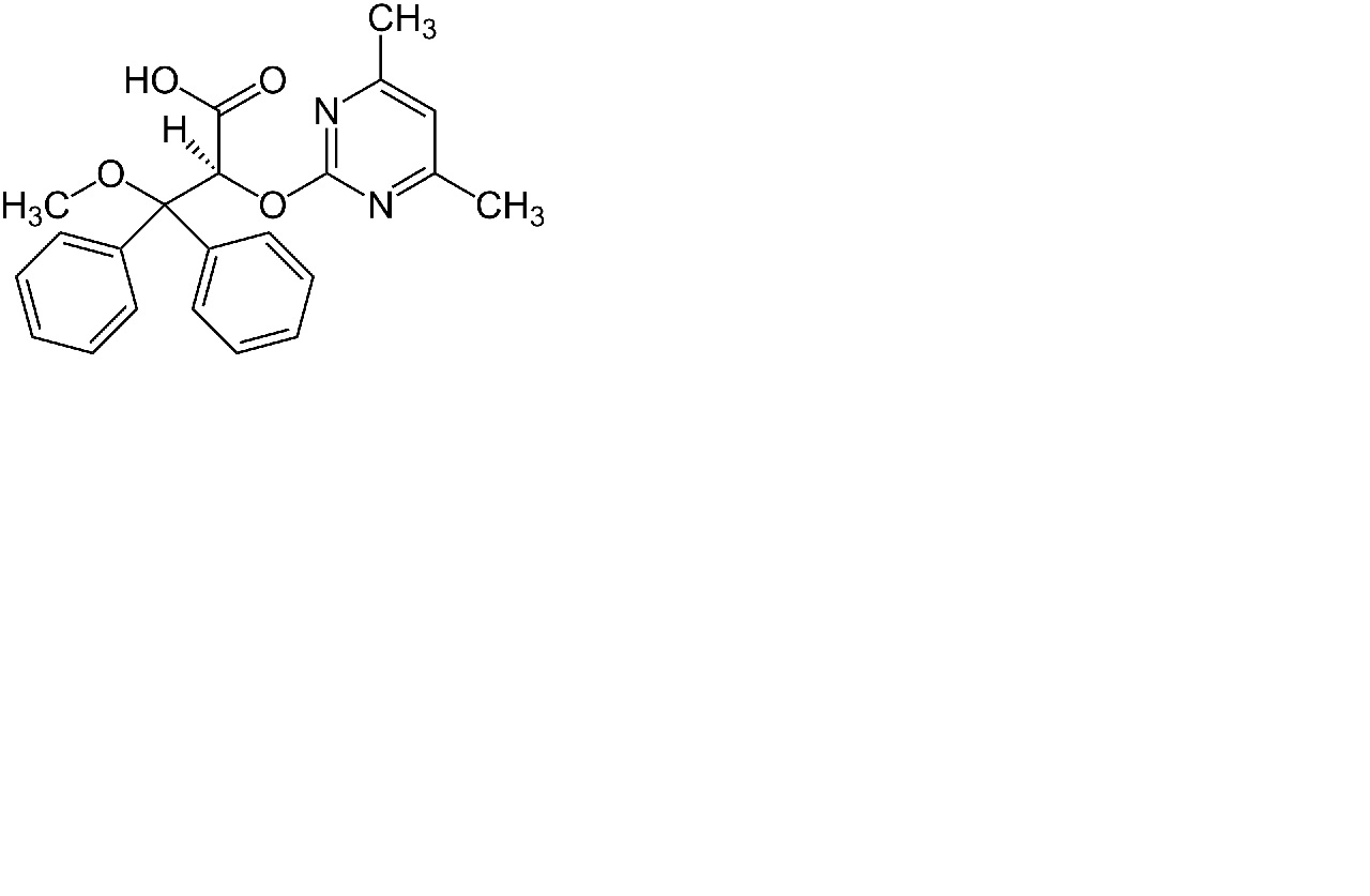
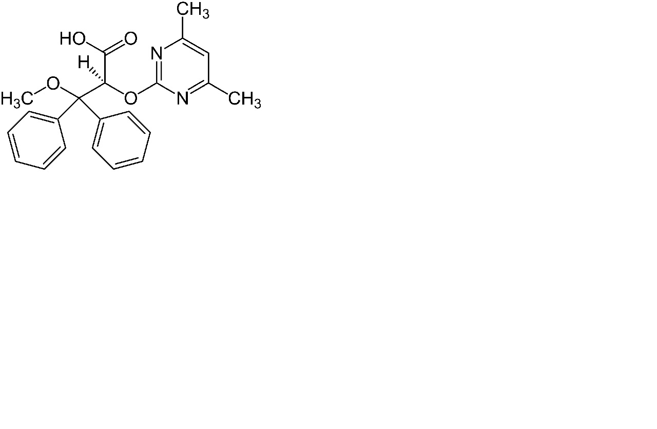
   Chemický vzorec  

Perorální roztok

Faktory ovlivňující stabilitu   Perorální roztok   Faktory ovlivňující stabilitu : Ambrisentan        
žádná data

  Mentions Légales