Poslední aktualizace :
27/04/2026
Kraujagysles plečiantis vaistas   Ambrisentan  
Geriamas tirpalas
Stabilumas farmacinių preparatų Mišinių stabilumas Stabilumą lemiantys veiksniai Suderinamumas Bibliografija pdf
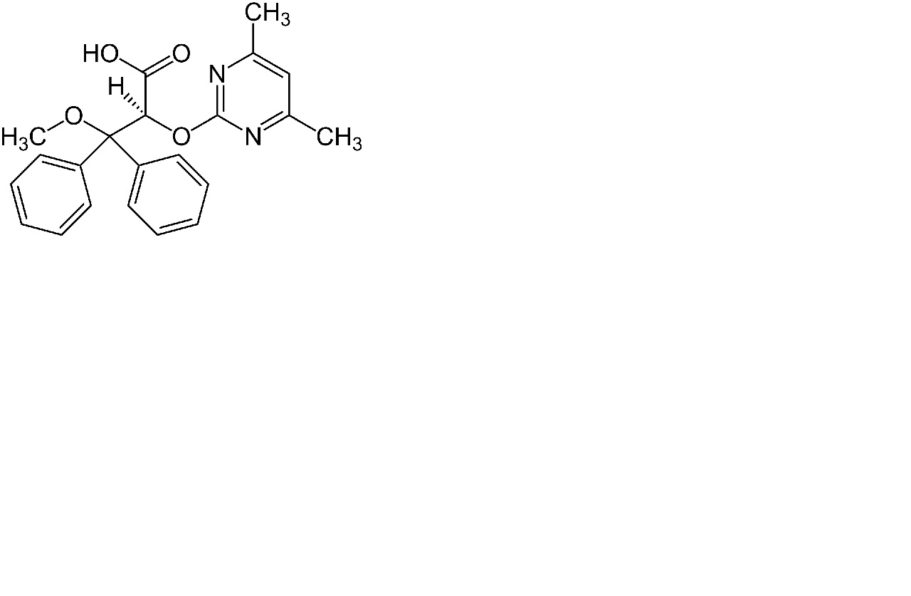
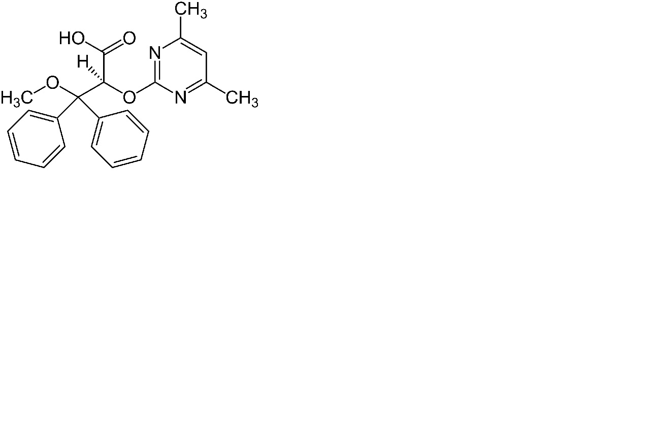
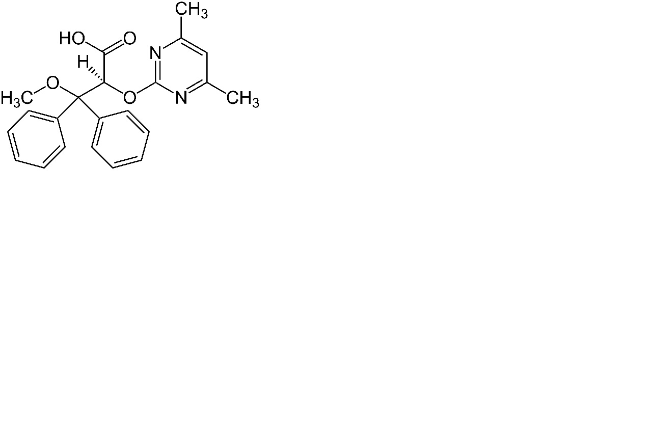
   Cheminė sandara  

Geriamas tirpalas

Stabilumą lemiantys veiksniai   Geriamas tirpalas   Stabilumą lemiantys veiksniai : Ambrisentan        
Nėra duomenų

  Mentions Légales