Siste oppdatering :
27/04/2026
Vasodilatator   Ambrisentan  
Mikstur
Stabilitet av farmasøytiske preparater Stabilitet i blandinger Faktorer som påvirker stabiliteten Kompatibilitet Referanser pdf
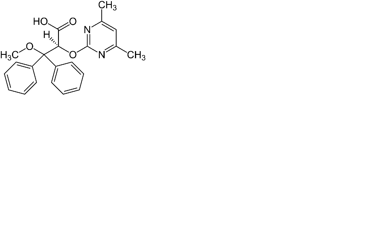
   Kjemisk struktur  

Mikstur

Faktorer som påvirker stabiliteten   Mikstur   Faktorer som påvirker stabiliteten : Ambrisentan        
Ingen opplysninger

  Mentions Légales