Son güncelleme :
27/04/2026
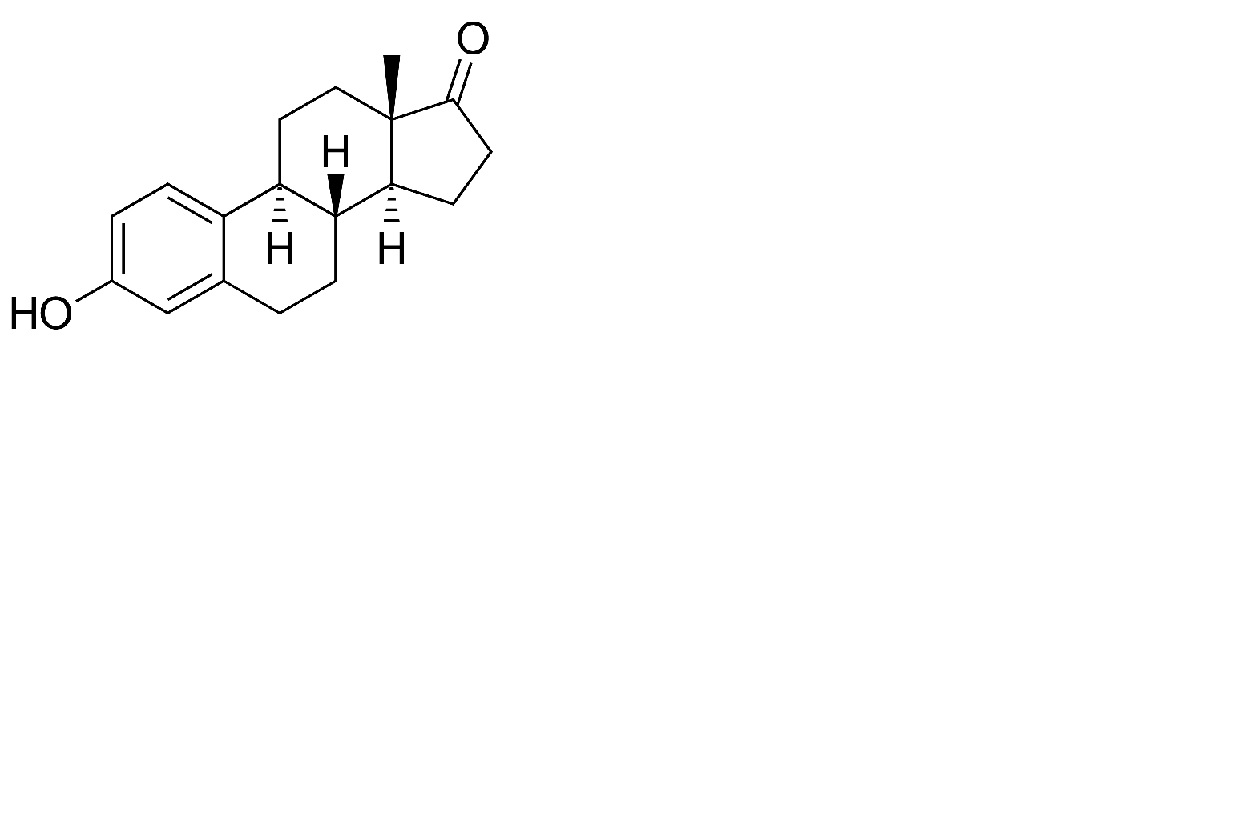
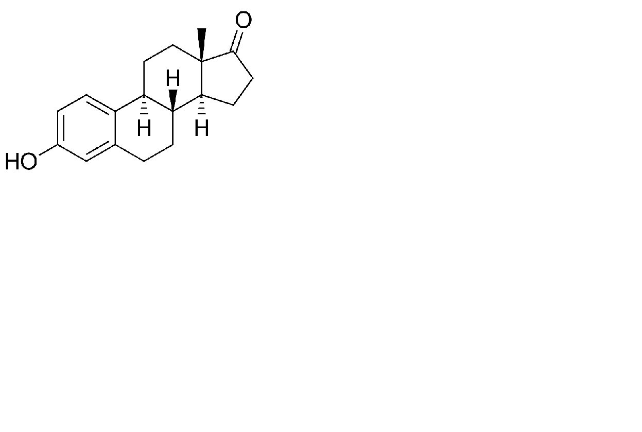
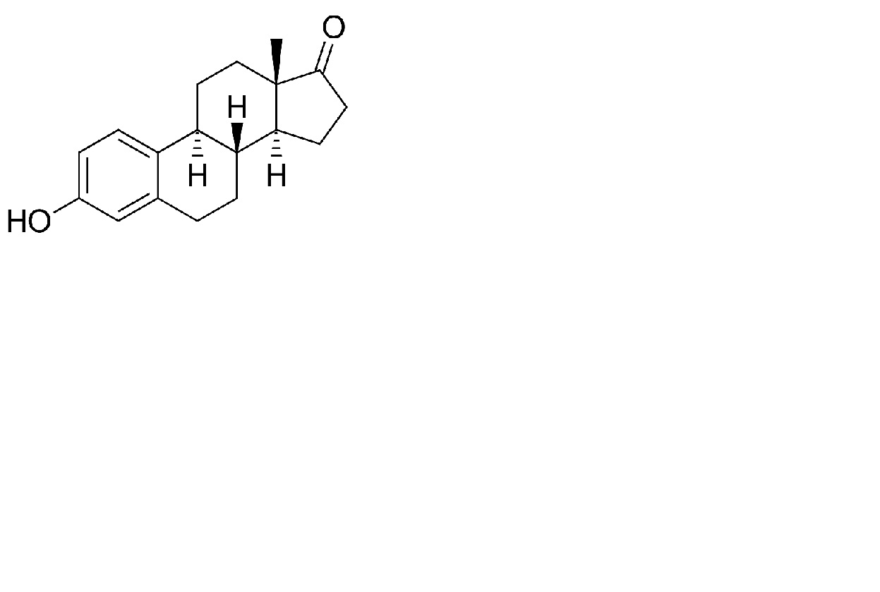
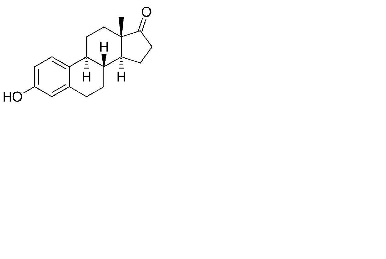
Hormon   Estrone  
Merhem
Farmasötik preparatlar Kararlılığı Karışımlardaki stabilitesi Stabiliteyi etkileyen faktörler Uyumluluk Kaynaklar pdf
   Kimyasal yapı   

Merhem
Uyumluluk   Merhem   Uyumluluk : Estrone              
veri yok

  Mentions Légales