Seneste opdatering :
27/04/2026
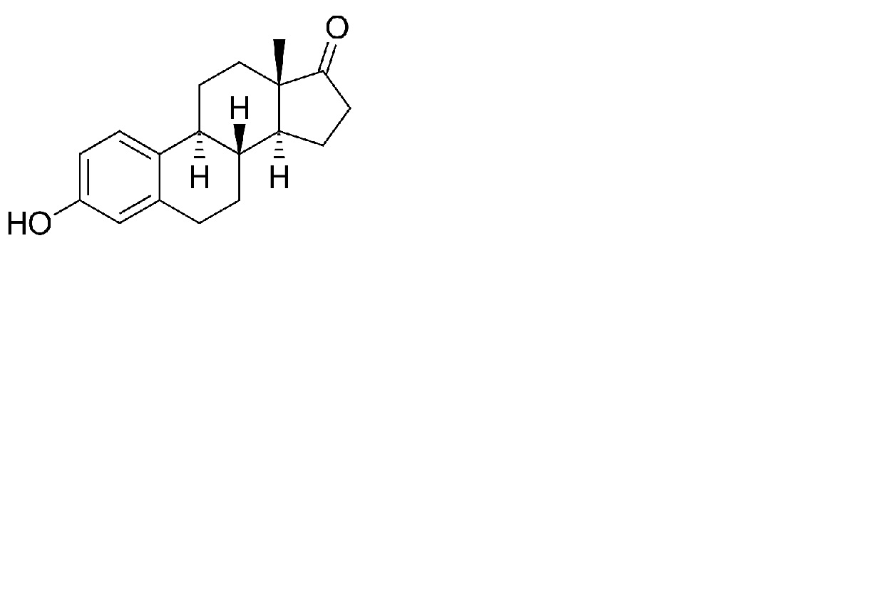
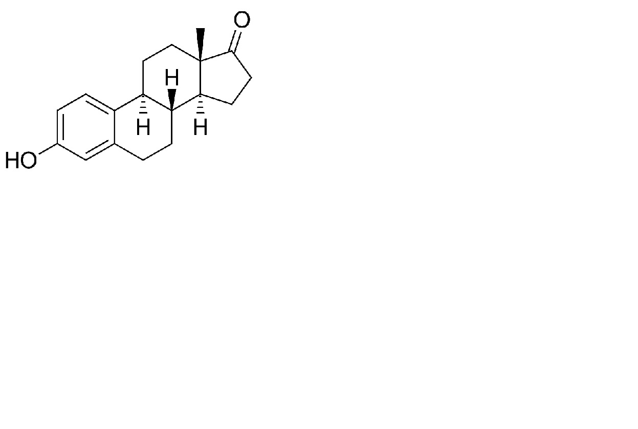
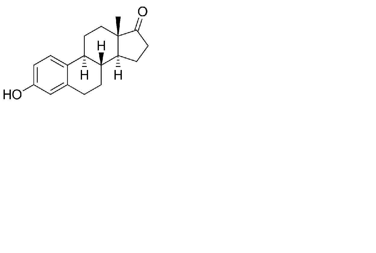
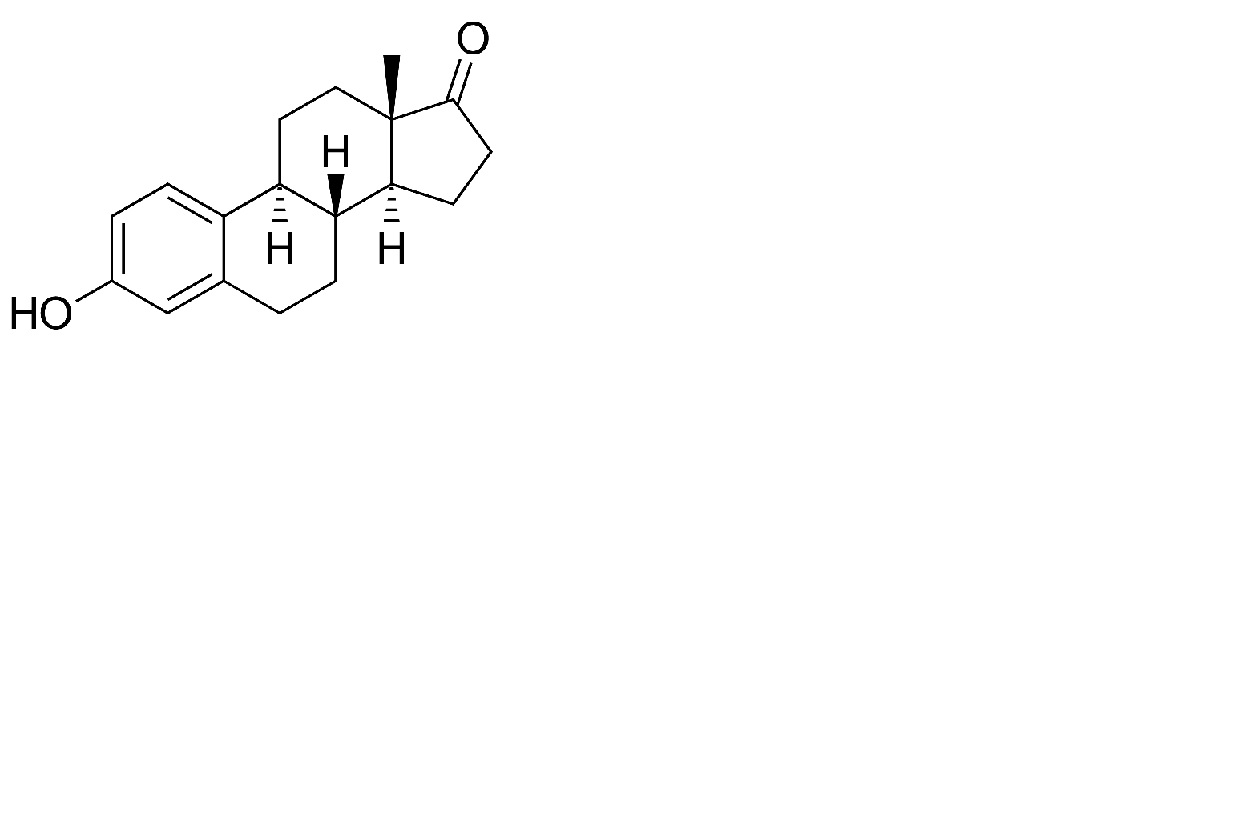
Hormon   Estrone  
Salver
Stabilitet af farmaceutiske tilberedninger Stabilitet i blandinger Faktorer der påvirker stabiliteten Kompatibilitet Bibliografi pdf
   Kemisk struktur  

Salver
Kompatibilitet   Salver   Kompatibilitet : Estrone              
Ingen data

  Mentions Légales