Ultimele actualizari :
27/04/2026
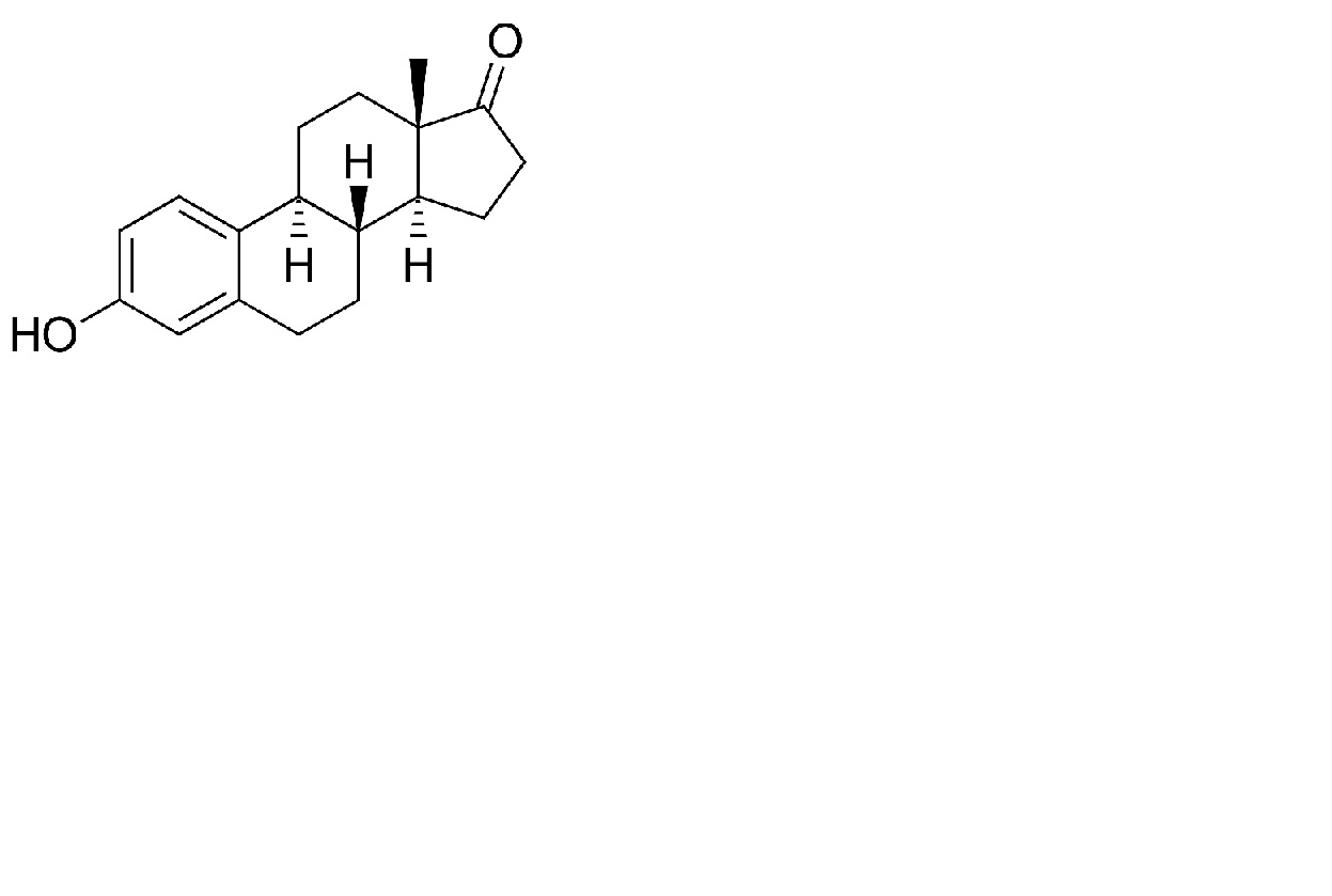
Hormone   Estrone  
Unguente
Stabilitatea preparatelor farmaceutice Stabilitatea in amestec Factorii care influenteaza stabilitatea Compatibilitate Bibliografie pdf
   Formula chimica  

Unguente
Compatibilitate   Unguente   Compatibilitate : Estrone              
Absenta de date

  Mentions Légales