Siste oppdatering :
27/04/2026
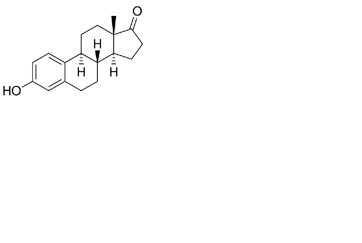
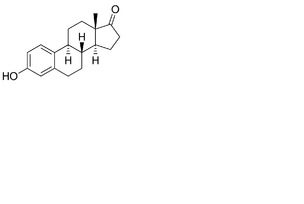
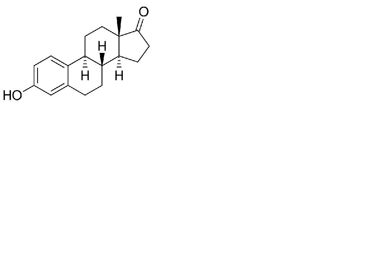
Hormon   Estrone  
Salver
Stabilitet av farmasøytiske preparater Stabilitet i blandinger Faktorer som påvirker stabiliteten Kompatibilitet Referanser pdf
   Kjemisk struktur  

Salver
Kompatibilitet   Salver   Kompatibilitet : Estrone              
Ingen opplysninger

  Mentions Légales