Ostatnia aktualizacja :
27/04/2026
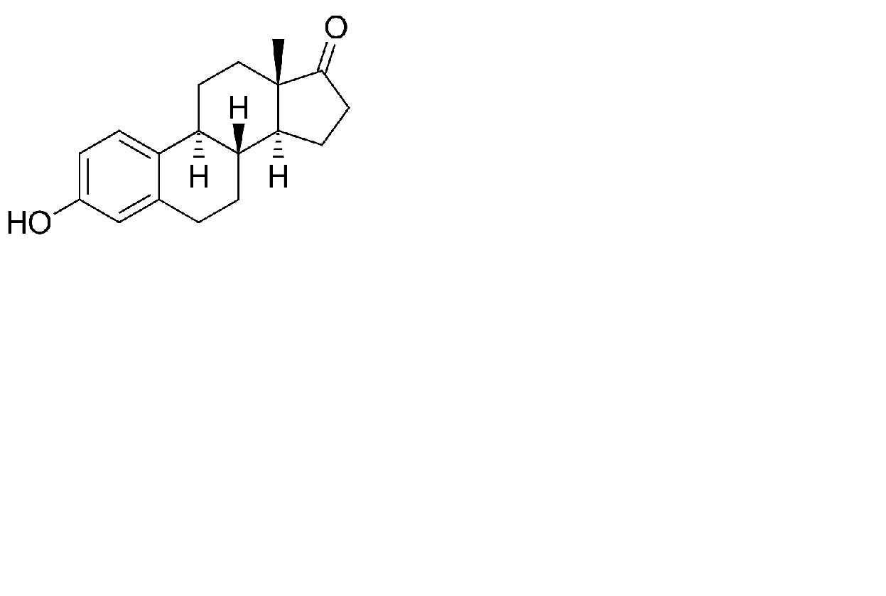
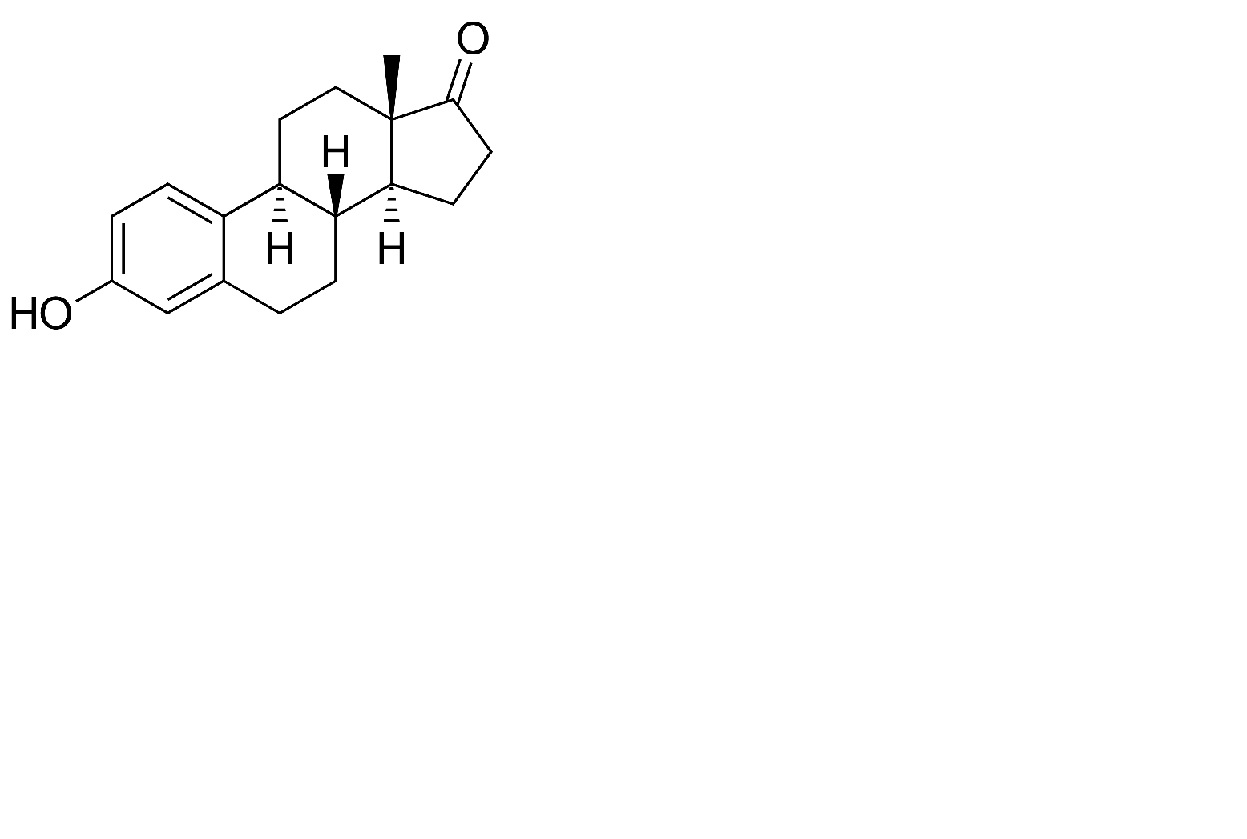
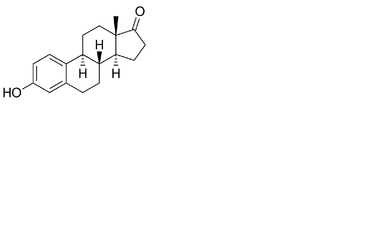
Hormon   Estrone  
Maści
Stabilność preparatów farmaceutycznych Trwałość w mieszaninie Czynnik wpływający na trwałość Zgodność Bibliografia pdf
   Struktura chemiczna  

Maści
Zgodność   Maści   Zgodność : Estrone              
Brak danych

  Mentions Légales