Ultimo aggiornamento :
27/01/2026
Vitamina   Phytomenadione  
Iniezione
Soluzione orale
Stabilità in soluzione Stabilità in miscela Fattori che influenzano la stabilità Compatibilità metodo di iniezione Bibliografia pdf
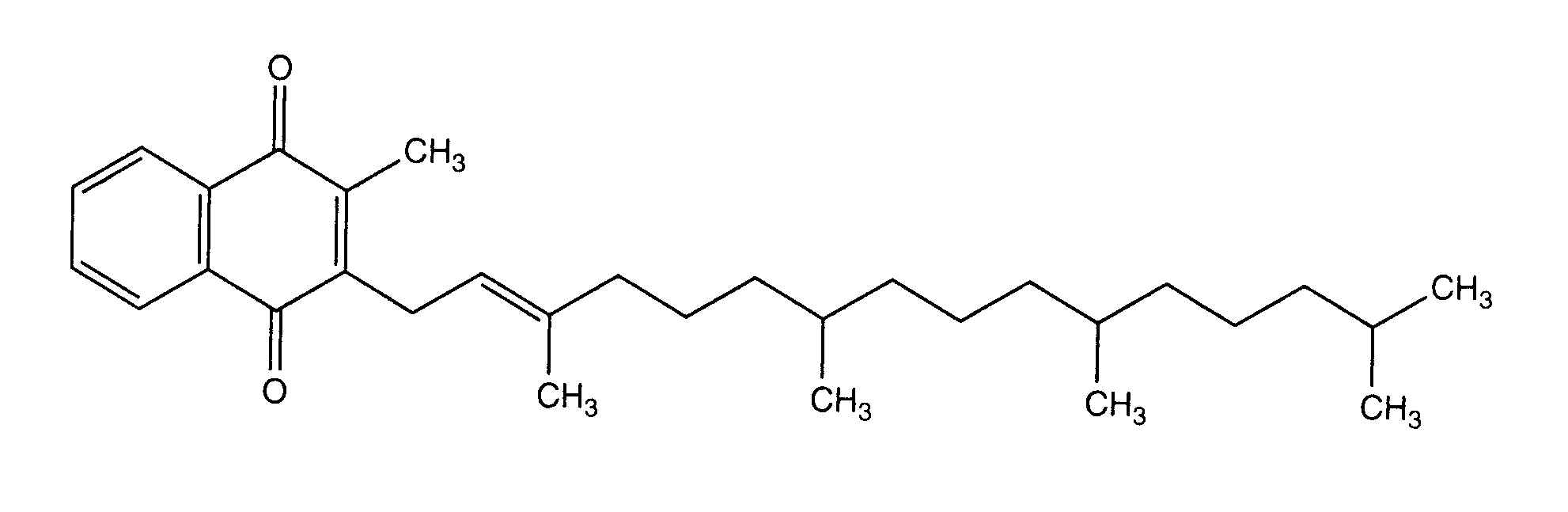
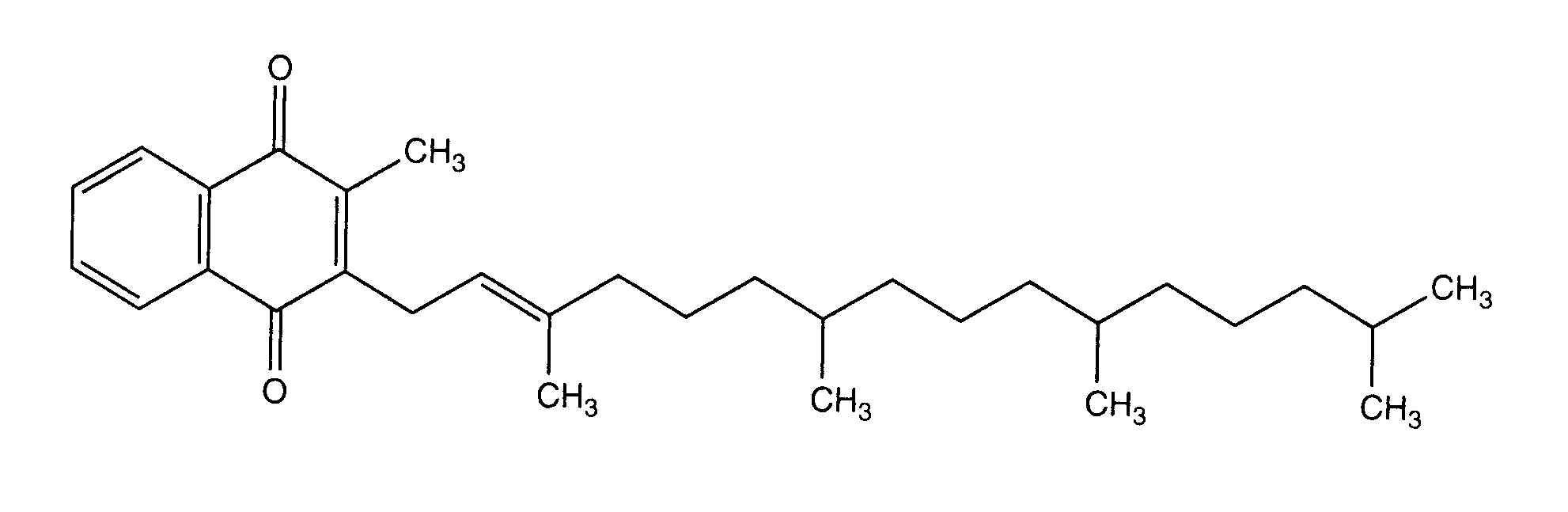
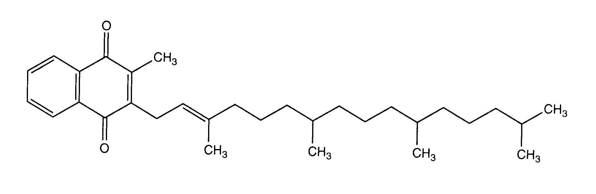
   Struttura chimica  

Nome commerciale   Nome commerciale     

Trade names are indicative and excipients composition can be different depending on the country and manufacturers

Adcokion Egitto
Amidalak Messico
Amri-K Egitto
Aquamephyton Stati Uniti d’America
Epikavit Egitto
Haemokion Egitto
Hyvit Brasile
Kanakion Brasile, Portogallo
Kavit Brasile
Kenadion India
Kisan Malaysia
Konakion Arabia Saudita, Argentina, Austria, Belgio, Chile, Colombia, Croazia, Danimarca, Ecuador, Egitto, Emirati Arabi Uniti, Finlandia, Germania, Gran Bretagna, Grecia, Irlanda, Islanda, Italia, Lussemburgo, Marocco, Norvegia, nuova Zelanda, Paesi Bassi, Polonia, Spagna, Svezia, Svizzera, Turchia, Ungheria
Oskavit Iran
Rupek Argentina
Vikadic Iran
Vitatron Brasile
Bibliografia   Iniezione   Bibliografia : Phytomenadione  
tipo pubblicazione
397 Rivista Fong PA, Ward J.
Visual compatibility of intravenous famotidine with selected drugs.
Am J Hosp Pharm 1989 ; 46: 125-126.
951 Rivista Ho PC, Wong VK.
Influence of DL methionine and sodium metasulphite on the photostability of vitamin K1.
PDA J Pharm Sci Technol 1998 ; 52: 129-133.
1200 Rivista Chaudry IA, Bruey KP, Hurlburt LE, Oden EM.
Compatibility of netilmycin sulfate injection with commonly used intravenous injections and additives.
Am J Hosp Pharm 1981 ; 38: 1737-1742.
1201 Rivista Yuhas EM, Lofton FT, Rosenberg HA, Mayron D, Baldinus JG.
Cimetidine hydrochloride compatibility III: Room temperature stability in drug admixtures.
Am J Hosp Pharm 1981 ; 38: 1919-1922.
2231 Rivista de Jongh R, Hens R, Basma V, mouton JW, Tulkens PM, Carryn S.
Continuous versus intermittent infusion of temocillin, a directed spectrum penicillin for intensive care patients with nosocomial pneumonia: stability, compatibility, population pharmacokinetic studies and breakpoint selection.
J Antimicrob Chemother 2008 ; 61, 2: 382-388.
3128 Laboratorio Mitomycine (Amétycine®) - Résumé Caractéristiques du Produit
Prostrakan 2013
3372 Rivista Hanci V, Ali Kiraz H, Ömür D, Ekin S, Uyan B, Yurtlu B.S.
Precipitation in Gallipoli: Sugammadex / Amiodarone & Sugammadex / Dobutamine & Sugammadex / Protamine.
Rev Bras Anestesiol 2013 ; 63, 1: 163-166.
3985 poster Manai M., Soussi M.A., Lazreg O., Drira C., Ben Tekaya S. et Razgallah Khrouf M.
Compatibilité physique entre médicaments injectables et nutrition parentérale pédiatrique : Evaluation in-vitro.
Hopipharm Congress 2017 - Nancy 2017
4471 Laboratorio Amétycine 10 mg poudre pour solution injectable - Résumé des caractéristiques du produit - Oct 10, 2019
Kyowa Kirin Pharma 2019
4698 Rivista Ayari G, D'Huart E, Vigneron J, Demoré B.
Y-site compatibility of intravenous medications commonly used in intensive care units : laboratory tests on 75 mixtures involving nine main drugs.
Pharmaceutical Technology in Hospital Pharmacy 2022 ; 7(1): 20220002

  Mentions Légales