Ultimo aggiornamento :
18/03/2026
Vasodilatatore   Minoxidil  
Soluzione orale
Unguenti
Stabilità dei preparati farmaceutici Stabilità in miscela Fattori che influenzano la stabilità Compatibilità Bibliografia pdf
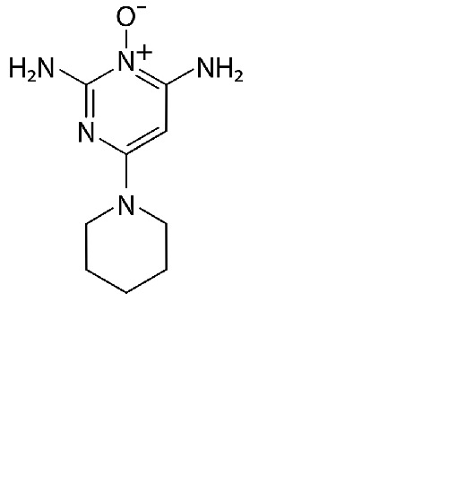
   Struttura chimica  

Soluzione orale
Stabilità dei preparati farmaceutici   Soluzione orale   Stabilità dei preparati farmaceutici : Minoxidil     
contenitore Origine eccipiente Temperatura Conservazione Durata della stabilità Bibliografia
Vetro compresse 300 mg
Loniten®
OraPlus® / OraSweet SF® (1:1) >> 300 mL
2-6°C Al riparo dalla luce
168 Giorno
4075

Vetro compresse 300 mg
Loniten®
OraPlus® / OraSweet SF® (1:1) >> 300 mL
23-25°C Al riparo dalla luce
21 Giorno
4075


  Mentions Légales