Последно актуализиране :
27/01/2026
Вазодилататор   Minoxidil  
Орален разтвор
Унгвент/Унгвенти
Стабилност на лекарствени препарати Стабилност на смеси Фактори, повлияващи стабилността Съвместимост Библиография Pdf
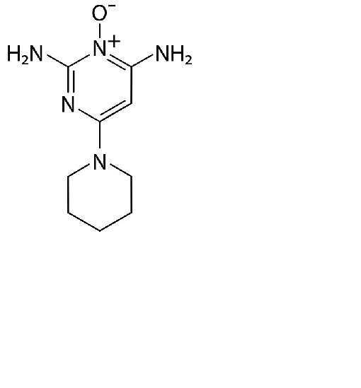
   Химична структура  

Орален разтвор
Стабилност на лекарствени препарати   Орален разтвор   Стабилност на лекарствени препарати : Minoxidil     
Контейнер Origine Помощно вещество Температура Съхранение Продължителност на стабилността Библиография
Стъкло таблетки 300 mg
Loniten®
Ораплюс® / Орасуит SF® (1:1) >> 300 mL
2-6°C Защита от светлина
168 Ден
4075

Стъкло таблетки 300 mg
Loniten®
Ораплюс® / Орасуит SF® (1:1) >> 300 mL
23-25°C Защита от светлина
21 Ден
4075


  Mentions Légales