最新更新 :
27/01/2026
扩张血管药   Minoxidil  
口服剂
药膏
制剂的稳定性 混合物稳定性 影响稳定性的因素 兼容性 引用文献 PDF
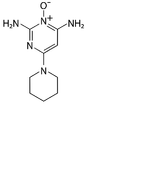
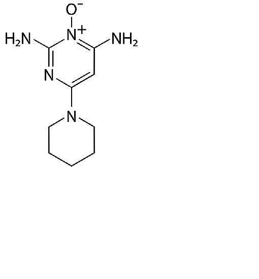
   化学式  

口服剂
制剂的稳定性   口服剂   制剂的稳定性 : Minoxidil     
容器 Origine 添加剂 温度 保存 穩定持續時間 引用文献
玻璃 片剂 300 mg
Loniten®
OraPlus® / OraSweet SF® (1:1) >> 300 mL
2-6°C 避光
168 白天
4075

玻璃 片剂 300 mg
Loniten®
OraPlus® / OraSweet SF® (1:1) >> 300 mL
23-25°C 避光
21 白天
4075


  Mentions Légales