Viimeisin päivitys :
27/01/2026
Vasodilataattorit   Minoxidil  
Oraaliliuos
Salvat
Vakaus lääkevalmisteen Stabilius seoksissa Tekijät, jotka vaikuttavat stabiliuteen Yhteensopivuus Viitteet pdf
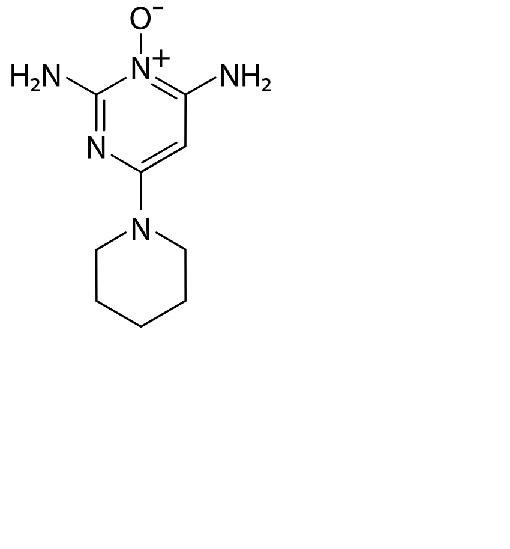
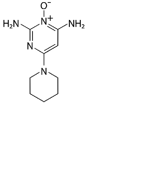
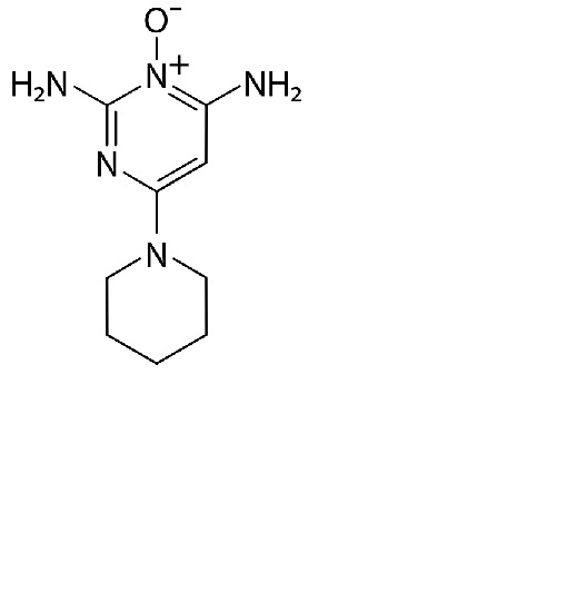
   Kemiallinen rakenne  

Oraaliliuos
Vakaus lääkevalmisteen   Oraaliliuos   Vakaus lääkevalmisteen : Minoxidil     
Astia Origine Apuaine Lämpötila Säilytys Vakauden kesto Viitteet
Lasi Tabletit 300 mg
Loniten®
OraPlus® / OraSweet SF® (1:1) >> 300 mL
2-6°C Suojattava valolta
168 Päivä
4075

Lasi Tabletit 300 mg
Loniten®
OraPlus® / OraSweet SF® (1:1) >> 300 mL
23-25°C Suojattava valolta
21 Päivä
4075


  Mentions Légales