Dernière mise à jour :
27/01/2026
Infostab
Liste des molécules
Listes récapitulatives
Recherches de compatibilités
Tableau de compatibilités en Y
Bibliographie
Equipes de recherche
Valistab
Posters
Liens infostab
Partenaires
Auteurs
Manuel d'utilisation
Lettre d'actualité
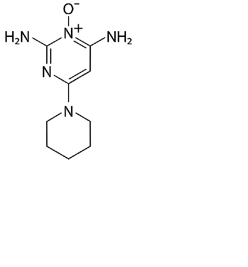
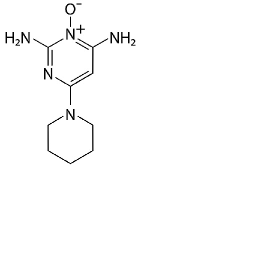
Minoxidil
Structure chimique
Stabilité des préparations : Minoxidil
300 mg
Loniten®
OraPlus® / OraSweet SF® (1:1)
>> 300 mL
2-6°C
168
4075
300 mg
Loniten®
OraPlus® / OraSweet SF® (1:1)
>> 300 mL
23-25°C
21
4075
Mentions Légales