zadnja posodobitev :
31/03/2026
Vazodilatator   Minoxidil  
Peroralna raztopina
Mazila
Stabilnost farmacevtskih preparatov Stabilnost mešanice Faktorji, ki vplivajo na stabilnost Kompatibilnost Viri pdf
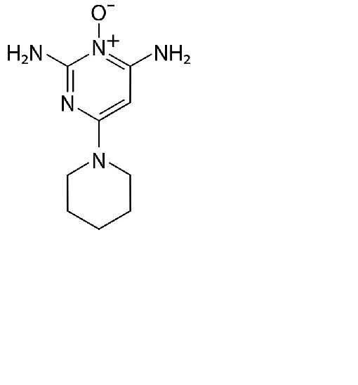
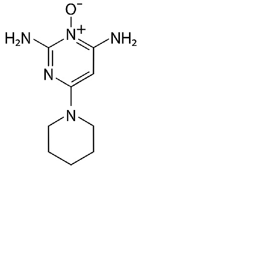
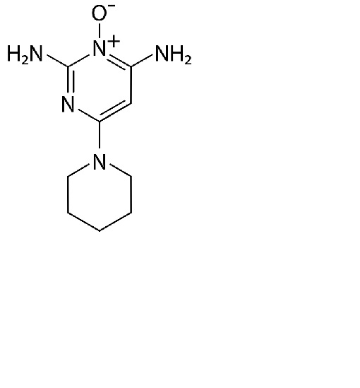
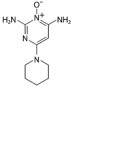
   Kemična formula  

Peroralna raztopina
Kompatibilnost   Peroralna raztopina   Kompatibilnost : Minoxidil              
ni podatka

  Mentions Légales