Ultimo aggiornamento :
31/03/2026
Vasodilatatore   Minoxidil  
Soluzione orale
Unguenti
Stabilità dei preparati farmaceutici Stabilità in miscela Fattori che influenzano la stabilità Compatibilità Bibliografia pdf
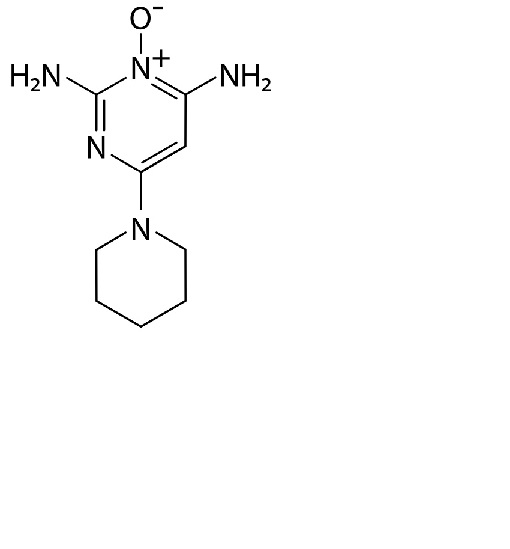
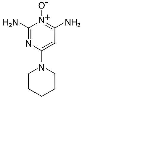
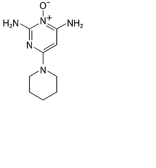
   Struttura chimica  

Soluzione orale
Compatibilità   Soluzione orale   Compatibilità : Minoxidil              
Assenza di dati

  Mentions Légales