Last update :
31/03/2026
Vasodilator   Minoxidil  
Oral solution
Ointments
Stability of pharmaceutical preparations Stability of mixtures Factors which affect stability Compatibility References pdf
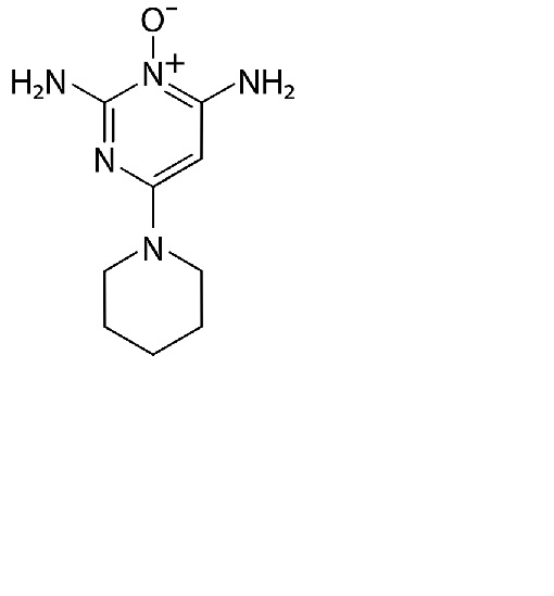
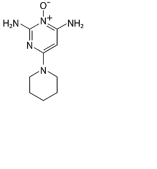
   Chemical structure  

Oral solution
Compatibility   Oral solution   Compatibility : Minoxidil              
No data

  Mentions Légales