Zadnji put ažurirano :
31/03/2026
vazodilatator   Minoxidil  
oralna otopina
masti
Stabilnost farmaceutskih pripravaka Stabilnost mješavine Stabilizacijski faktor Kompatibilnosti Bibliografija pdf
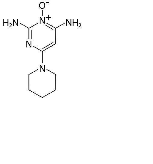
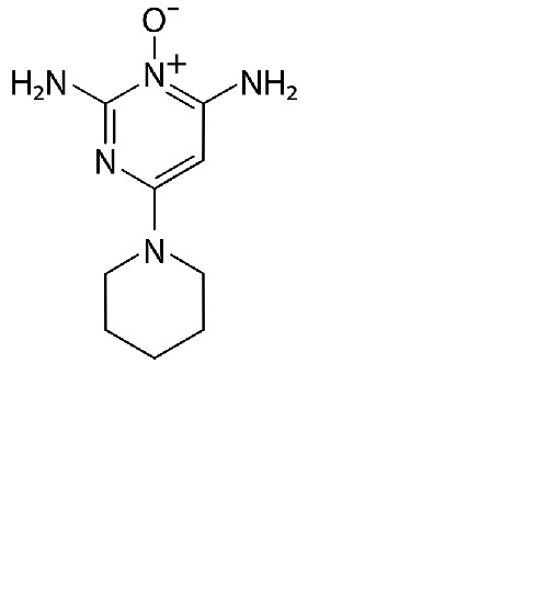
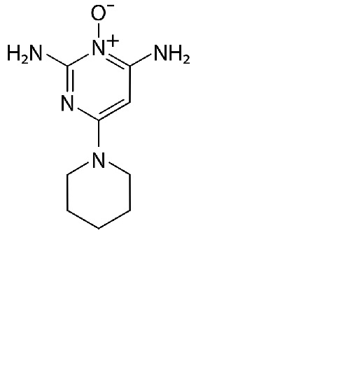
   Kemijska struktura  

oralna otopina
Kompatibilnosti   oralna otopina     Kompatibilnosti : Minoxidil              
bez podataka

  Mentions Légales