viimane versioon :
31/03/2026
vasodilataator   Minoxidil  
suukaudne lahus
salv
Stabiilsust ravimpreparaadid Stabiilsust mõjutavad tegurid stabiilsust mõjutavad faktorid Sobimatus Viited pdf
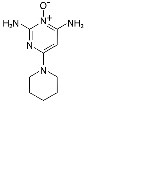
   keemiline struktuur  

suukaudne lahus
Sobimatus   suukaudne lahus   Sobimatus : Minoxidil              
andmed puuduvad

  Mentions Légales