zadnja posodobitev :
27/01/2026
Infostab
Seznami
Seznami
Poiščite združljivosti
Tabela združljivosti Y-strani
Viri
raziskovalne skupine
valistab
poster
Povezave
sponzorji
Avtor
Navodilo za uporabo
Newsletter
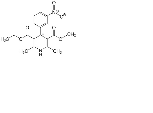
Nitrendipine
Kemična formula
Stabilnost farmacevtskih preparatov : Nitrendipine
500 mg
Nidrel®
SyrSpend SF PH4®
>> 100 ml
23-25°C
90
4087
Mentions Légales