Zadnji put ažurirano :
27/01/2026
antihipertenzor   Nitrendipine  
oralna otopina
Stabilnost farmaceutskih pripravaka Stabilnost mješavine Stabilizacijski faktor Kompatibilnosti Bibliografija pdf
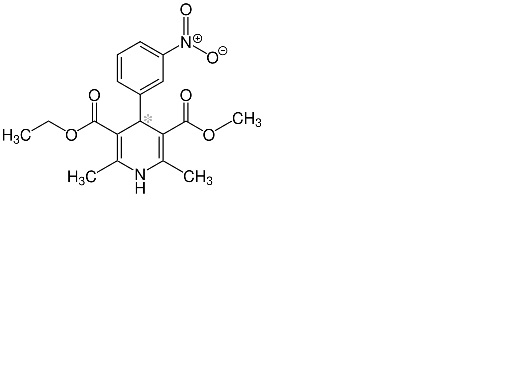
   Kemijska struktura  

oralna otopina
Stabilnost farmaceutskih pripravaka   oralna otopina     Stabilnost farmaceutskih pripravaka : Nitrendipine     
Kontejner Origine pomoćna tvar temperatura Konzerviranje Trajanje stabilnosti Bibliografija
čaša tablete 500 mg
Nidrel®
SyrSpend SF PH4® >> 100 ml
23-25°C Zaštićeno od svjetlosti
90 dan
4087


  Mentions Légales