Siste oppdatering :
27/04/2026
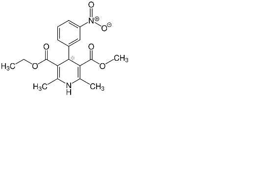
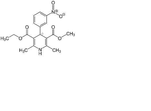
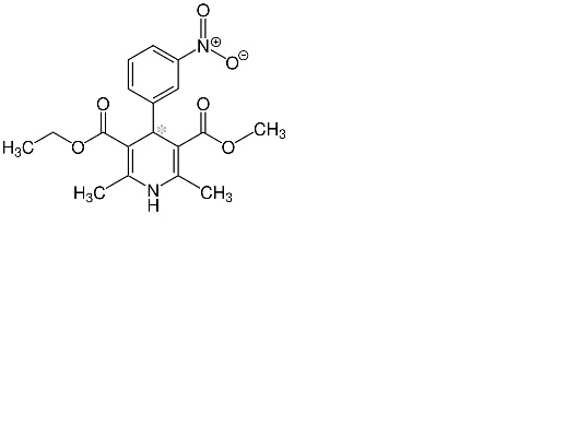
Antihypertensiva   Nitrendipine  
Mikstur
Stabilitet av farmasøytiske preparater Stabilitet i blandinger Faktorer som påvirker stabiliteten Kompatibilitet Referanser pdf
   Kjemisk struktur  

Mikstur
Stabilitet av farmasøytiske preparater   Mikstur   Stabilitet av farmasøytiske preparater : Nitrendipine     
Beholder Origine Hjelpestoff Temperatur Oppbevaring Varighet av stabilitet Referanser
Glass Tabletter 500 mg
Nidrel®
SyrSpend SF PH4® >> 100 ml
23-25°C Beskyttes mot lys
90 Dag
4087


  Mentions Légales