آخر تحديث :
27/01/2026
أدويه مخفضه للضغط   Nitrendipine  
عن طريق الفم
استقرار المستحضرات الصيدلانية استقرار مخاليط العوامل التي تؤثر على الاستقرار التوافق مراجع pdf
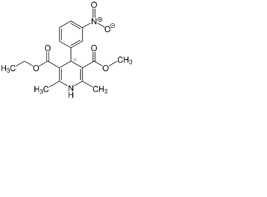
   التركيب الكيميائي  

عن طريق الفم
استقرار المستحضرات الصيدلانية   عن طريق الفم     استقرار المستحضرات الصيدلانية : Nitrendipine     
حاوية Origine الاضافات درجة الحرارة تخزين مدة الاستقرار مراجع
زجاج أقراص 500 mg
Nidrel®
SyrSpend SF PH4® >> 100 ml
23-25°C بعيدا عن الضوء
90 يوم
4087


  Mentions Légales