Viimeisin päivitys :
27/01/2026
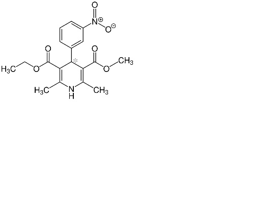
Verenpainelääkkeet   Nitrendipine  
Oraaliliuos
Vakaus lääkevalmisteen Stabilius seoksissa Tekijät, jotka vaikuttavat stabiliuteen Yhteensopivuus Viitteet pdf
   Kemiallinen rakenne  

Oraaliliuos
Vakaus lääkevalmisteen   Oraaliliuos   Vakaus lääkevalmisteen : Nitrendipine     
Astia Origine Apuaine Lämpötila Säilytys Vakauden kesto Viitteet
Lasi Tabletit 500 mg
Nidrel®
SyrSpend SF PH4® >> 100 ml
23-25°C Suojattava valolta
90 Päivä
4087


  Mentions Légales